This website requires JavaScript.
Explore
Help
Register
Sign In
lostecho
/
build-web-application-with-golang
Watch
1
Star
0
Fork
0
You've already forked build-web-application-with-golang
Code
Issues
Pull Requests
Actions
Packages
Projects
Releases
Wiki
Activity
Files
2301e043fd6aa368c8aa0cf84dfadb4f0601ec1a
build-web-application-with-…
/
images
/
2.2.slice.png
xiemengjun
fc83016e34
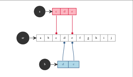
增加array、slice和map
2012-08-26 22:18:48 +08:00
14 KiB
445x260px
Raw
History
Reference in New Issue
View Git Blame
Copy Permalink