Files
logseq/pages/天生丽质.md

2.9 KiB
Executable File

  • https://xuexi-courses-storage.firesbox.com/7000104654/replay/4930888a-a712-4a62-9cdf-e6aea4dde205.mp4
  • 人们普遍厌倦所谓人人都可以成功之类的鼓励
    • 不切实际的鼓励全归于鸡汤
    • 若是有辜负了的感觉,就是毒鸡汤
  • 一个简单的事实
    • 原本人人都可以非常成功,只不过基于这样那样的原因,最后绝大多数人学傻了,或者干脆是被教傻了
    • 人类大脑构造上每个人都一样,出生的那一刻是一台超级学习机器
  • 研究大脑
    • 脑电图
    • 核磁共振FMRI
    • 显微光学成像 MOS
  • 刚出生的婴儿,大脑里已经拥有相当多的模型
    • 一睁眼就能识别人脸
    • 对物体、数字、概率、语言都有一定的先验知识
    • 这个新生的大脑是可以习得任何语言及其文字的,大脑皮层天生就被设计成了这个样子
  • 习得语言的能力是天生的
    • 美国长大,英文
    • 日本长大,日文
    • 卢森堡长大,三种语言
    • 双胞胎被不同国家收养,各自习得不同的语言
  • 语言是什么
    • 自然语言和人工语言,是一切知识的基础
    • ((66727dd2-dbbc-4397-b08a-62fa4c5e6172))
  • 每个婴儿都是天生的超级学习机器
    • 习得天下所有科目的潜力
    • 两岁之前即便不会说话的时候,已经习得很多原因的区别了
    • 两三岁时,吐字不清的时候,事实上不理解内容含意的前提下,能够整段流利切毫无遗漏地背诵诗词或篇章
    • 四年级,十岁的时候,自己的孩子正在不可避免地走向平庸
  • 每个孩子都的的确确是天才的样子
    • 对什么都好奇
    • 做什么都用于尝试
    • 做什么都专注
    • 不知疲倦
    • 不怕重复
    • 根本就不知道什么叫枯燥
    • 完全不在意其他人的看法
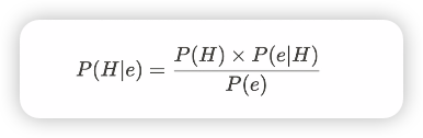
  • 人类的大脑从一开始就是非常完善的贝叶斯推理
    • image.png
    • 拿弹弓打树上的鸟
    • 学习说话
      • 先学会的并不是某句话或某个词的真实含义,只是记住了声音及其音速组合
      • 通过一次又一次的尝试,排除非正确的选项,最终找到正确答案
  • 天生且不知疲倦的贝叶斯推理机,如何变成熊孩子,败家子
    • 教育体制的系统性破坏
    • 亲生父母的打击
      • 不知道试错是格外重要的,特别必要的,干脆就是不可或缺的
    • 过度保护
      • 只要不是真正涉及人身安全的事,都应该采取爱怎样就怎样的态度
    • 过早纠正
      • 孩子犯的错误事实上是孩子试错的奖励,那是新的证据,没有新的证据,就没有调整和改正,那就没有进步
    • 把试错排除法应用的过程理解为熊孩子非要和我作对
      • 孩子是非常单纯的,甚至没有学会如何处理敌对关系,甚至都不知道敌人是什么
      • 只是在做各种尝试,需要各式各样的结果当作自己的新证据,去调整自己预测模型的参数