Preprocessing


Phases of Translation · White Space · Preprocessing Tokens · Include Directives · Define Directives · Expanding Macros · Creating String Literals · Conditional Directives · Conditional Expressions · Restrictions on Conditional Expressions · Other Conditional Directives · Other Directives · Predefined Macros


The translator processes each source file in a series of phases. Preprocessing constitutes the earliest phases, which produce a translation unit. Preprocessing treats a source file as a sequence of text lines. You can specify directives and macros that insert, delete, and alter source text.

This document describes the operations that you can perform during preprocessing. It shows how the translator parses the program as white space and preprocessing tokens, carries out the directives that you specify, and expands the macros that you write in the source files.

Phases of Translation

Preprocessing translates each source file in a series of distinct phases. The translator performs the following steps, in order:

  1. terminates each line with a newline character (NL), regardless of the external representation of a text line
  2. converts trigraphs to their single-character equivalents
  3. concatenates each line ending in a backslash (\) with the line following
  4. replaces each comment (beginning with /* that is not inside a character constant, a string literal, or a standard header name and ending with a */) with a space character
  5. parses each resulting logical line as preprocessing tokens and white space
  6. recognizes and carries out directives (that are not skipped) and expands macros in all non-directive lines (that are not skipped)
  7. replaces escape sequences within character constants and string literals with their single-character equivalents
  8. concatenates adjacent string literals
  9. converts the remaining preprocessing tokens to C tokens and discards any white space to form the translation unit

The remainder of the translator then parses the resulting translation unit as one or more declarations and translates each one. At link time), you combine one or more separately processed translation units, along with the Standard C library, to form the program.

A translation unit can contain entire include files, which can contain entire if-groups, which can contain entire directives and macro invocations, which can contain entire comments, character constants, string literals, and other preprocessing tokens.

You cannot write a comment inside a string literal, as in:

"hello /* ignored */"           comment is NOT ignored

You cannot write a macro to begin comments, as in:

#define BEGIN_NOTE /*           still inside comment

You cannot include a source file that contains an if directive without a balancing endif directive within the same file. Nor can you include a source file that contains only part of a macro invocation.

You write a directive on one logical line. (Use line concatenation to represent a long directive on multiple source lines.) Every directive begins with a number character (#). You can write any number of space and HT characters (or comments) before and after the #. You cannot write FF or VT characters to separate tokens on a directive line. Every line that begins with a # must match one of the forms described in this document.

White Space

Preprocessing parses each input line as preprocessing tokens and white space. You use white space for one or more purposes.

White space takes one of three distinct forms:

For a directive, you can write horizontal white space wherever an arrow appears in its railroad-track diagram.

Preprocessing Tokens

A preprocessing token is the longest sequence of characters that matches one of the following patterns.

A name is a sequence of letters, underscores, and digits that begins with a letter or underscore. Distinct names must differ within the first 31 characters.

Some valid names, all of which are distinct, are:

abc           Version13     old_sum
ABC          _Abc           X1_Y2_Z3

A preprocessing number subsumes all integer and floating-point constants, plus a number of other forms:

Some valid preprocessing numbers are:

0            .123           3E
123          123E0F         3e+xy
123LU        0.123E-005     2for1

The third column shows several of the additional forms. You use the additional forms:

Some valid preprocessing numbers are:

314          3.14           .314E+1
0xa5         .14E+          1z2z

A character constant consists of one or more multibyte characters enclosed in single quotes. A backslash (\) within a character constant begins an escape sequence. To make a wide-character constant, precede the character constant with an L.

Some valid character constants are:

'a'          '\n'           L'x'
'abc'        '\0'           L'<$B0>'

A string literal consists of zero or more multibyte characters enclosed in double quotes ("). To make a wide-character string literal, precede the string literal with an L:

Some valid string literals are:

""           "Good Night!\n"   L"Kon ban wa"
"abc"        "\5hello\0Hello"  L"exit is <$B0>"

The following table lists all valid operator or punctuator tokens. Tokens in the rightmost column are added by Amendment 1:

...   &&   -=   >=   ~   +   ;   ]    <:
<<=   &=   ->   >>   %   ,   <   ^    :>
>>=   *=   /=   ^=   &   -   =   {    <%
!=    ++   <<   |=   (   .   >   |    %>
%=    +=   <=   ||   )   /   ?   }    %:
##    --   ==   !    *   :   [   #    %:%:

Any character standing alone other than one from the basic C character set forms a preprocessing token by itself. For example, some other characters often found in character sets are @ and $.

You use other characters for one of two purposes:

Thus, almost any form that you write will be recognized as a valid preprocessing token. Do not, however, write an unbalanced single or double quote alone on a source line and outside other enclosing quotes, as in:

#define str(x) #x
char *name1 = str(O'Brien);     INVALID
char *name2 = "O'Brien";        valid

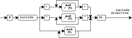
Include Directives

You include the contents of an include file -- a standard header or another source file -- in a translation unit by writing an include directive. The contents of the specified standard header or source file replace the include directive:

Following the directive name include, write one of the following:

Some examples are:

#include <stdio.h>              declare I/O functions
#include "mydecs.h"             and custom ones
#include MACHDEFS               MACHDEFS defined earlier

A standard header name:

A filename:

For maximum portability, filenames should consist of from one to six lowercase letters, followed by a dot (.), followed by a lowercase letter. Some portable filenames are:

"salary.c"   "defs.h"       "test.x"

Define Directives

You define a macro by writing a define directive. Following the directive name define, you write one of two forms:

Three examples are:

#define MIN_OFFSET  (-17)       no parameters
#define quit()      exit(0)     zero parameters
#define add(x, y)   ((x) + (y)) two parameters

Write a define directive that defines a name currently defined as a macro only if you write it with the identical sequence of preprocessing tokens as before. Where white space is present in one definition, white space must be present in the other. (The white space need not be identical.)

To remove a macro definition, write an undef directive:

You might want to remove a macro definition so that you can define it differently with a define directive or to unmask any other meaning given to the name.

The name whose definition you want to remove follows the directive name undef. If the name is not currently defined as a macro, the undef directive has no effect.

Expanding Macros

Preprocessing expands macros in all non-directive lines and in parts of some directives that are not skipped as part of an if-group. In those places where macros are expanded, you invoke a macro by writing one of the two forms:

A macro argument consists of one or more preprocessing tokens. You must write parentheses only in balanced pairs within a macro argument. You must write commas only within these pairs of parentheses. For example, using the macros defined in the previous example, you can write:

    if (MIN_OFFSET < x)         invokes MIN_OFFSET
        x = add(x, 3);          invokes add

Following the name of a macro with parameters, you must write one macro argument for each parameter and you must write at least one preprocessing token for each macro argument. Following the name of a macro with parameters, you must not write any directives within the invocation and you must not write the invocation across more than one file. Following the name of a macro with parameters, you can write arbitrary white space before the left parenthesis and you can write the invocation across multiple source lines.

The translator expands a macro invocation by replacing the preprocessing tokens that constitute the invocation with a sequence of zero or more preprocessing tokens. It determines the replacement sequence in a series of steps. This example illustrates most of the steps:

#define sh(x) printf("n" #x "=%d, or %d\n",n##x,alt[x])
#define sub_z  26
    sh(sub_z)                   macro invocation

The steps, in order, are:

  1. The translator takes the replacement list from the sequence of any preprocessing tokens (and intervening white space) in the macro definition. It does not include leading and trailing white space as part of the list.
        printf("n" #x "=%d, or %d\n",n##x,alt[x])
  2. A macro parameter name must follow each # token (or %: token, with Amendment 1) in the replacement list. The translator replaces the # token and parameter name with a created string literal made from the corresponding (unexpanded) macro argument.
        printf("n" "sub_z" "=%d, or %d\n",n##x,alt[x])
  3. Preprocessing tokens must both precede and follow each ## token (or %:%: token, with Amendment 1) in the replacement list. If either token is a macro parameter name, the translator replaces that name with the corresponding (unexpanded) macro argument. The translator then replaces the ## token and its preceding and following tokens with a single preprocessing token that is the concatenation of the preceding and following tokens. The result must be a valid preprocessing token.
        printf("n" "sub_z" "=%d, or %d\n",nsub_z,alt[x])
  4. For any remaining macro parameter names in the replacement list, the translator expands the corresponding macro argument. The translator replaces the macro parameter name in the replacement list with the resulting sequence.
        printf("n" "sub_z" "=%d, or %d\n",nsub_z,alt[26])
  5. The translator remembers not to further expand the macro (sh in the example) while it rescans the replacement list to detect macro invocations in the original replacement list or that it may have constructed as a result of any of these replacements. The replacement list can provide the beginning of an invocation of a macro with parameters, with the remainder of the invocation consisting of preprocessing tokens following the invocation.

In the example shown, no further expansion occurs. After string literal concatenation, the resulting text is:

    printf("nsub_z=%d, or %d\n",nsub_z,alt[26])

You can take advantage of rescanning by writing macros such as:

#define add(x, y)       ((x) + (y))
#define sub(x, y)       ((x) - (y))
#define math(op, a, b)  op(a, b)
    math(add, c+3, d)           becomes ((c+3) + (d))

Creating String Literals

The translator creates a string literal from a macro argument (when its corresponding macro parameter follows a # token in the macro definition) by performing the following steps, in order:

  1. The translator discards leading and trailing white space.
  2. Each preprocessing token in the macro argument appears in the string literal exactly as you spelled it, except that the translator adds a \ before each \ and " within a character constant or string literal.
  3. Any white space between preprocessing tokens in the macro argument appears in the string literal as a space character.

For example:

#define show(x)  printf(#x "= %d\n", x)
    show(a   +/* same as space */-1);
becomes:
    printf("a + -1= %d\n", a + -1);

You can also create a wide-character string literal:

#define wcsl(x)  L ## #x
    wcsl(arigato)               becomes L"arigato"

Conditional Directives

You can selectively skip groups of lines within source files by writing conditional directives. The conditional directives within a source file form zero or more if-groups:

Within an if-group, you write conditional directives to bracket one or more groups of lines, or line-groups:

The translator retains no more than one line-group within an if-group. It skips all other line-groups. An if-group has the following general form:

A line-group is zero or more occurrences of either an if-group or any line other than an if, ifdef, ifndef, elif, else, or endif directive. The translator retains no more than one alternative line-group:

For example, to retain a line-group in a header file at most once, regardless of the number of times the header is included:

#ifndef _SEEN
#define _SEEN
/* body of header */
#endif

And to retain only one of three line-groups, depending on the value of the macro MACHINE defined earlier in the translation unit:

#if MACHINE == 68000
    int x;
#elif MACHINE == 8086
    long x;
#else    /* all others */
    #error UNKNOWN TARGET MACHINE
#endif

Conditional Expressions

For an if directive (or an elif directive), you write a conditional expression following the directive name if:

If the expression you write has a nonzero value, then the translator retains as part of the translation unit the line-group immediately following the if directive. Otherwise, the translator skips this line-group. The translator evaluates the expression you write by performing the following steps. This example illustrates most of the steps, in order:

#define VERSION  2
#if defined x || y || VERSION < 3
  1. The translator replaces each occurrence of the name defined, followed by another name or by another name enclosed in parentheses. The replacement is 1 if the second name is defined as a macro; otherwise, the replacement is 0.
    #if          0 || y || VERSION < 3
  2. The translator expands macros in the expression.
    #if          0 || y || 2 < 3
  3. The translator replaces each remaining name with 0.
    #if          0 || 0 || 2 < 3
  4. The translator converts preprocessing tokens to C tokens and then parses and evaluates the expression.
    #if          1

Thus, in this example, the translator retains the line-group following the if directive.

Restrictions on Conditional Expressions

In the expression part of an if directive, you write only integer constant expressions, with the following additional considerations:

To determine the properties of the target environment by writing if directives, test the values of the macros defined in <limits.h>.

Other Conditional Directives

The ifdef directive tests whether a macro name is defined:

The directive:

#ifdef xyz

is equivalent to:

#if defined xyz

The ifndef directive tests whether a macro name is not defined:

The directive:

#ifndef xyz

is equivalent to:

#if !defined xyz

You can provide an alternative line-group within an if-group by writing an elif directive:

Following the directive name elif, you write an expression just as for an if directive. The translator retains the alternative line-group following the elif directive if the expression is true and if no earlier line-group has been retained in the same if-group.

You can also provide a last alternative line-group by writing an else directive:

You terminate the last alternative line-group within an if-group by writing an endif directive:

Other Directives

You alter the source line number and filename by writing a line directive. The translator uses the line number and filename to alter the values of the predefined macros __FILE__ and __LINE__:

Following the directive name line, write one of the following:

You generate an unconditional diagnostic message by writing an error directive:

Following the directive name error, write any text that the translator can parse as preprocessing tokens. The translator writes a diagnostic message that includes this sequence of preprocessing tokens. For example:

#if !defined  VERSION
 #error You failed to specify a VERSION
#endif

You convey additional information to the translator by writing a pragma directive:

Following the directive name pragma, write any text that the translator can parse as preprocessing tokens. Each translator interprets this sequence of preprocessing tokens in its own way and ignores those pragma directives that it does not understand.

You introduce comments or additional white space into the program by writing a null directive:

The null directive is the only directive that does not have a directive name following the # token. For example:

#
#  /* this part for testing only */  valid
#define comment  /* comment only */
#
#    comment                         INVALID

Predefined Macros

The translator predefines several macro names.

The macro __DATE__ expands to a string literal that gives the date you invoked the translator. Its format is "Mmm dd yyyy". The month name Mmm is the same as for dates generated by the library function asctime. The day part dd ranges from " 1" to "31" (a leading 0 becomes a space).

The macro __FILE__ expands to a string literal that gives the remembered filename of the current source file. You can alter the remembered filename by writing a line directive.

The macro __LINE__ expands to a decimal integer constant that gives the remembered line number within the current source file. You can alter the remembered line number by writing a line directive.

The macro __STDC__ expands to the decimal integer constant 1. The translator should provide another value (or leave the macro undefined) when you invoke it for other than a Standard C environment. For example, you can write:

#if __STDC__ != 1
 #error NOT a Standard C environment
#endif

The macro __STDC_VERSION__ expands to the decimal integer constant 199409L. The translator should provide another value (or leave the macro undefined) when you invoke it for other than a Standard C environment that incorporates Amendment 1.

The macro __TIME__ expands to a string literal that gives the time you invoked the translator. Its format is "hh:mm:ss", which is the same as for times generated by the library function asctime.

You cannot write these macro names, or the name defined, in an undef directive. Nor can you redefine these names with a define directive.


See also the Table of Contents and the Index.

Copyright © 1989-1996 by P.J. Plauger and Jim Brodie. All rights reserved.