<stdlib.h>EXIT_FAILURE
· EXIT_SUCCESS
· MB_CUR_MAX
· NULL
· RAND_MAX
· abort
· abs
· atexit
· atof
· atoi
· atol
· bsearch
· calloc
· div
· div_t
· exit
· free
· getenv
· labs
· ldiv
· ldiv_t
· malloc
· mblen
· mbstowcs
· mbtowc
· qsort
· rand
· realloc
· size_t
· srand
· strtod
· strtol
· strtoul
· system
· wchar_t
· wcstombs
· wctomb
#define EXIT_FAILURE
<rvalue integer expression>
#define EXIT_SUCCESS
<rvalue integer expression>
#define MB_CUR_MAX
<rvalue integer expression >= 1>
#define NULL
<either 0, 0L, or (void *)0> [0 in C++]
#define RAND_MAX
<integer constant expression >= 32,767>
void abort(void);
int abs(int i);
long abs(long i); [C++ only]
int atexit(void (*func)(void));
double atof(const char *s);
int atoi(const char *s);
long atol(const char *s);
void *bsearch(const void *key,
const void *base, size_t nelem, size_t size, int (*cmp)(const void *ck,
const void *ce));
void *calloc(size_t nelem,
size_t size);
div_t div(int numer, int denom);
ldiv_t div(long numer, long denom);
[C++ only]
typedef T div_t;
void exit(int status);
void free(void *ptr);
char *getenv(const char *name);
long labs(long i);
ldiv_t ldiv(long numer,
long denom);
typedef T ldiv_t;
void *malloc(size_t size);
int mblen(const char *s,
size_t n);
size_t mbstowcs(wchar_t *wcs,
const char *s, size_t n);
int mbtowc(wchar_t *pwc,
const char *s, size_t n);
void qsort(void *base, size_t nelem,
size_t size, int (*cmp)(const void *e1, const void *e2));
int rand(void);
void *realloc(void *ptr,
size_t size);
typedef ui-type size_t;
void srand(unsigned int seed);
double strtod(const char *s,
char **endptr);
long strtol(const char *s,
char **endptr, int base);
unsigned long strtoul(const
char *s, char **endptr, int base);
int system(const char *s);
typedef i-type wchar_t;
[keyword in C++]
size_t wcstombs(char *s,
const wchar_t *wcs, size_t n);
int wctomb(char *s,
wchar_t wchar);
Include the standard header <stdlib.h> to declare an
assortment of useful functions and to define the macros and types
that help you use them.
EXIT_FAILURE
#define EXIT_FAILURE <rvalue integer expression>
The macro yields the value of the status argument to
exit
that reports unsuccessful termination.
EXIT_SUCCESS
#define EXIT_SUCCESS <rvalue integer expression>
The macro yields the value of the status argument to
exit
that reports successful termination.
MB_CUR_MAX
#define MB_CUR_MAX <rvalue integer expression >= 1>
The macro yields the maximum number of characters that constitute a
multibyte character
in the current
locale. Its value is <=
MB_LEN_MAX.
NULL
#define NULL <either 0, 0L, or (void *)0> [0 in C++]
The macro yields a null pointer constant that is usable as an address constant expression.
RAND_MAX
#define RAND_MAX <integer constant expression >= 32,767>
The macro yields the maximum value returned by rand.
abort
void abort(void);
The function calls
raise(SIGABRT),
which reports the abort signal,
SIGABRT.
Default handling for the abort signal is to cause abnormal
program termination and report unsuccessful termination to the target
environment. Whether or not the target environment flushes output
streams, closes open files, or removes temporary files on abnormal
termination is implementation defined. If you specify handling that causes
raise
to return control to abort, the function calls
exit(EXIT_FAILURE),
to report unsuccessful termination with
EXIT_FAILURE.
abort never returns control to its caller.
abs
int abs(int i);
long abs(long i); [C++ only]
The function returns the absolute value of
i, |i|. The version that accepts
a long argument behaves the same as
labs
atexit
int atexit(void (*func)(void));
The function registers the function whose address is func
to be called by
exit (or when
main returns)
and returns zero if successful.
The functions are called in reverse order of registry. You can register at
least 32 functions.
atof
double atof(const char *s);
The function converts the initial characters of the string s
to an equivalent value x of type double and then returns
x. The conversion is the same as for
strtod(s, 0),
except that a value is not necessarily stored in
errno
if a conversion error occurs.
atoi
int atoi(const char *s);
The function converts the initial characters of the string s
to an equivalent value x of type int and then returns
x. The conversion is the same as for
(int)strtol(s, 0, 10),
except that a value is not necessarily stored in
errno
if a conversion error occurs.
atol
long atol(const char *s);
The function converts the initial characters of the string s
to an equivalent value x of type long and then returns
x. The conversion is the same as for
strtol(s, 0, 10),
except that a value is not necessarily stored in
errno
if a conversion error occurs.
bsearch
void *bsearch(const void *key, const void *base, size_t nelem,
size_t size, int (*cmp)(const void *ck, const void *ce));
The function searches an array of ordered values and returns
the address of an array element that equals the search key key
(if one exists); otherwise, it returns a null pointer. The array consists
of nelem elements, each of size bytes,
beginning with the element whose address is base.
bsearch calls the comparison function whose address is
cmp to compare the search key with elements of the array. The
comparison function must return:
ck is less than the
array element ce
bsearch assumes that the array elements are in ascending
order according to the same comparison rules that are used by the
comparison function.
calloc
void *calloc(size_t nelem, size_t size);
The function allocates an array object containing nelem
elements each of size size, stores zeros in all bytes of the
array, and returns the address of the first element of the array if
successful; otherwise, it returns a null pointer. You can safely convert
the return value to an object pointer of any type whose size in bytes
is not greater than size.
div
div_t div(int numer, int denom);
ldiv_t div(long numer, long denom); [C++ only]
The function divides numer by denom and returns
both quotient and remainder in the structure
div_t
(or ldiv_t)
result x, if the quotient can be represented.
The structure member x.quot
is the algebraic quotient truncated toward zero.
The structure member x.rem is the remainder, such
that numer == x.quot*denom + x.rem.
div_ttypedef struct {
int quot, rem;
} div_t;
The type is the structure type returned by the function
div.
The structure contains members that represent the quotient
(quot) and remainder (rem)
of a signed integer division with operands of type int. The
members shown above can occur in either order.
exit
void exit(int status);
The function calls all functions registered by
atexit,
closes all files, and returns control to the target environment. If
status is zero or
EXIT_SUCCESS,
the program reports successful termination. If status is
EXIT_FAILURE, the
program reports unsuccessful termination. An implementation can define
additional values for status.
free
void free(void *ptr);
If ptr is not a null pointer, the function deallocates
the object whose address is ptr; otherwise, it does nothing.
You can deallocate only objects that you first allocate by calling
calloc,
malloc, or
realloc.
getenv
char *getenv(const char *name);
The function searches an
environment list,
which each implementation defines, for an entry
whose name matches the string name. If
the function finds a match, it returns a pointer to a static-duration
object that holds the definition associated with the target environment
name. Otherwise, it returns a null pointer. Do not alter the value
stored in the object. If you call getenv again, the value stored
in the object can change. No target environment names are required
of all environments.
labs
long labs(long i);
The function returns the absolute value of i,
|i|, the same as
abs.
ldiv
ldiv_t ldiv(long numer, long denom);
The function divides numer by denom and returns
both quotient and remainder in the structure
ldiv_t
result x, if the quotient can be represented.
The structure member x.quot
is the algebraic quotient truncated toward zero.
The structure member x.rem is the remainder, such
that numer == x.quot*denom + x.rem.
ldiv_ttypedef struct {
long quot, rem;
} ldiv_t;
The type is the structure type returned by the function
ldiv.
The structure contains members that represent the quotient
(quot) and remainder (rem)
of a signed integer division with operands of type long. The
members shown above can occur in either order.
malloc
void *malloc(size_t size);
The function allocates an object of size size, and returns
the address of the object if successful; otherwise, it returns a null
pointer. The values stored in the object are indeterminate. You can
safely convert the return value to an object pointer of any type whose
size is not greater than size.
mblen
int mblen(const char *s, size_t n);
If s is not a null pointer, the function returns the
number of bytes in the multibyte string s that constitute the
next multibyte character, or it returns -1 if the next n
(or the remaining) bytes do not constitute a valid multibyte character.
mblen does not include the terminating null in the count of
bytes. The function can use a
conversion state
stored in an internal
static-duration object to determine how
to interpret the multibyte string.
If s is a null pointer and if multibyte characters have a
state-dependent encoding
in the current
locale, the function stores the
initial conversion state
in its internal static-duration object and
returns nonzero; otherwise, it returns zero.
mbstowcs
size_t mbstowcs(wchar_t *wcs, const char *s, size_t n);
The function stores a wide character string, in successive elements
of the array whose first element has the address wcs,
by converting, in turn, each of the multibyte characters
in the multibyte string s.
The string begins in the
initial conversion state.
The function converts each character as if by calling
mbtowc (except that
the internal conversion state stored for that function is unaffected).
It stores at most n wide characters, stopping after it stores
a null wide character. It returns the number of wide characters it
stores, not counting the null wide character, if all conversions are
successful; otherwise, it returns -1.
mbtowc
int mbtowc(wchar_t *pwc, const char *s, size_t n);
If s is not a null pointer,
the function determines x,
the number of bytes in the multibyte string s that constitute
the next multibyte character.
(x cannot be greater than
MB_CUR_MAX.)
If pwc is not a null pointer, the function converts the next
multibyte character to its corresponding wide-character value and
stores that value in *pwc.
It then returns x, or it
returns -1 if the next n or the remaining bytes do not
constitute a valid multibyte character. mbtowc does not include
the terminating null in the count of bytes. The function can use a
conversion state
stored in an internal static-duration object to determine
how to interpret the multibyte string.
If s is a null pointer and if multibyte characters have a
state-dependent encoding
in the current
locale, the function stores the
initial conversion state
in its internal static-duration object and
returns nonzero; otherwise, it returns zero.
qsort
void qsort(void *base, size_t nelem, size_t size,
int (*cmp)(const void *e1, const void *e2));
The function sorts, in place, an array consisting of nelem
elements, each of size bytes, beginning with the element whose
address is base. It calls the comparison function whose address
is cmp to compare pairs of elements. The comparison function
must return a negative value if e1 is less than e2,
zero if the two are equal, or a positive value if e1 is greater
than e2. Two array elements that are equal can appear in the
sorted array in either order.
rand
int rand(void);
The function computes a pseudo-random number x based
on a seed value stored in an internal static-duration object, alters
the stored seed value, and returns x.
x is in the interval [0,
RAND_MAX].
realloc
void *realloc(void *ptr, size_t size);
The function allocates an object of size size, possibly
obtaining initial stored values from the object
whose address is ptr.
It returns the address of the new object if successful; otherwise,
it returns a null pointer. You can safely convert the return value
to an object pointer of any type
whose size is not greater than size.
If ptr is not a null pointer, it must be the address
of an existing object that you first allocate by calling
calloc,
malloc, or
realloc. If the existing object is not larger
than the newly allocated object, realloc copies the entire
existing object to the initial part of the allocated object. (The
values stored in the remainder of the object are indeterminate.) Otherwise,
the function copies only the initial part of the existing object that
fits in the allocated object. If realloc succeeds in allocating
a new object, it deallocates the existing object. Otherwise, the existing
object is left unchanged.
If ptr is a null pointer, the function does not store
initial values in the newly created object.
size_t
typedef ui-type size_t;
The type is the unsigned integer type ui-type
of an object that you declare to store the result of the
sizeof operator.
srand
void srand(unsigned int seed);
The function stores the seed value seed
in a static-duration object that
rand
uses to compute a pseudo-random number. From a given seed value,
that function always generates the same sequence of return
values. The program behaves as if the target environment calls
srand(1) at program startup.
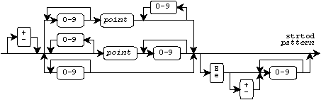
strtod
double strtod(const char *s, char **endptr);
The function converts the initial characters of the string s
to an equivalent value x of type double.
If endptr is not a null pointer,
the function stores a pointer to the unconverted
remainder of the string in *endptr. The function then returns
x.
The initial characters of the string s must consist of
zero or more characters for which
isspace returns nonzero,
followed by the longest sequence of one or more characters that match
the pattern:

Here, a point is the
decimal-point
character for the current
locale.
(It is the dot (.) in the
"C" locale.)
If the string s matches this pattern, its equivalent value
is the decimal integer represented by any digits to the left of the
point, plus the decimal fraction
represented by any digits to the right of the point,
times 10 raised to the signed decimal integer power
that follows an optional e or E. A leading
minus sign negates the value. In locales other than the
"C" locale,
strtod can define additional patterns as well.
If the string s does not match a valid pattern, the value
stored in *endptr is s,
and x is zero. If a
range error occurs,
strtod behaves exactly as the functions declared in
<math.h>.
strtol
long strtol(const char *s, char **endptr, int base);
The function converts the initial characters of the string s
to an equivalent value x of type long.
If endptr is not a null pointer,
it stores a pointer to the unconverted remainder
of the string in *endptr.
The function then returns x.
The initial characters of the string s must consist of
zero or more characters for which
isspace returns nonzero,
followed by the longest sequence of one or more characters that match
the pattern:

The function accepts the sequences
0x or 0X only
when base equals zero or 16.
The letters a-z or A-Z
represent digits in the range [10, 36).
If base is in the range
[2, 36], the function accepts only digits
with values less than base.
If base == 0, then a leading 0x or 0X
(after any sign) indicates a hexadecimal (base 16) integer, a leading
0 indicates an octal (base 8) integer, and any other valid
pattern indicates a decimal (base 10) integer.
If the string s matches this pattern, its equivalent
value is the signed integer of the appropriate base represented by
the digits that match the pattern. (A leading minus sign negates the
value.) In locales other than the
"C" locale,
strtol can define additional patterns as well.
If the string s does not match a valid pattern, the value
stored in *endptr is s,
and x is zero. If the
equivalent value is too large to represent as type long,
strtol stores the value of
ERANGE in
errno
and returns either
LONG_MAX,
if x is positive, or
LONG_MIN,
if x is negative.
strtoul
unsigned long strtoul(const char *s, char **endptr, int base);
The function converts the initial characters of the string s
to an equivalent value x of type unsigned long.
If endptr is not a null pointer,
it stores a pointer to the unconverted remainder
of the string in *endptr.
The function then returns x.
strtoul converts strings exactly as does
strtol,
but reports a range error only if the equivalent value is too large
to represent as type unsigned long.
In this case, strtoul stores the value of
ERANGE in
errno and returns
ULONG_MAX.
system
int system(const char *s);
If s is not a null pointer, the function passes the string
s to be executed by a
command processor, supplied by
the target environment, and returns the status reported by the command
processor. If s is a null pointer, the function returns nonzero
only if the target environment supplies a command processor. Each
implementation defines what strings its command processor accepts.
wchar_t
typedef i-type wchar_t; [keyword in C++]
The type is the integer type i-type of a
wide-character constant, such as L'X'.
You declare an object of type wchar_t to hold a
wide character.
wcstombs
size_t wcstombs(char *s, const wchar_t *wcs, size_t n);
The function stores a multibyte string, in successive elements
of the array whose first element has the address s,
by converting in turn each of the wide characters
in the string wcs. The multibyte string begins in the
initial conversion state.
The function converts each wide character as if by calling
wctomb (except that the
conversion state
stored for that function is unaffected). It stores no
more than n bytes, stopping after it stores a null byte. It
returns the number of bytes it stores, not counting the null byte,
if all conversions are successful; otherwise, it returns -1.
wctomb
int wctomb(char *s, wchar_t wchar);
If s is not a null pointer,
the function determines x,
the number of bytes needed to represent
the multibyte character corresponding
to the wide character wchar.
x cannot exceed
MB_CUR_MAX.
The function converts wchar to its corresponding multibyte
character, which it stores in successive elements of the array whose
first element has the address s.
It then returns x, or it returns -1
if wchar does not correspond to a valid
multibyte character. wctomb includes the terminating
null byte in the count of bytes. The function can use a
conversion state
stored in a static-duration object to determine how to interpret the
multibyte character string.
If s is a null pointer and if multibyte characters have a
state-dependent encoding
in the current
locale, the function stores the
initial conversion state
in its static-duration object and returns
nonzero; otherwise, it returns zero.
See also the Table of Contents and the Index.
Copyright © 1989-1996 by P.J. Plauger and Jim Brodie. All rights reserved.