<stdlib.h>


EXIT_FAILURE · EXIT_SUCCESS · MB_CUR_MAX · NULL · RAND_MAX · abort · abs · atexit · atof · atoi · atol · bsearch · calloc · div · div_t · exit · free · getenv · labs · ldiv · ldiv_t · malloc · mblen · mbstowcs · mbtowc · qsort · rand · realloc · size_t · srand · strtod · strtol · strtoul · system · wchar_t · wcstombs · wctomb


#define EXIT_FAILURE <rvalue integer expression>
#define EXIT_SUCCESS <rvalue integer expression>
#define MB_CUR_MAX <rvalue integer expression >= 1>
#define NULL <either 0, 0L, or (void *)0> [0 in C++]
#define RAND_MAX <integer constant expression >= 32,767>
void abort(void);
int abs(int i);
long abs(long i); [C++ only]
int atexit(void (*func)(void));
double atof(const char *s);
int atoi(const char *s);
long atol(const char *s);
void *bsearch(const void *key, const void *base, size_t nelem, size_t size, int (*cmp)(const void *ck, const void *ce));
void *calloc(size_t nelem, size_t size);
div_t div(int numer, int denom);
ldiv_t div(long numer, long denom); [C++ only]
typedef T div_t;
void exit(int status);
void free(void *ptr);
char *getenv(const char *name);
long labs(long i);
ldiv_t ldiv(long numer, long denom);
typedef T ldiv_t;
void *malloc(size_t size);
int mblen(const char *s, size_t n);
size_t mbstowcs(wchar_t *wcs, const char *s, size_t n);
int mbtowc(wchar_t *pwc, const char *s, size_t n);
void qsort(void *base, size_t nelem, size_t size, int (*cmp)(const void *e1, const void *e2));
int rand(void);
void *realloc(void *ptr, size_t size);
typedef ui-type size_t;
void srand(unsigned int seed);
double strtod(const char *s, char **endptr);
long strtol(const char *s, char **endptr, int base);
unsigned long strtoul(const char *s, char **endptr, int base);
int system(const char *s);
typedef i-type wchar_t; [keyword in C++]
size_t wcstombs(char *s, const wchar_t *wcs, size_t n);
int wctomb(char *s, wchar_t wchar);

Include the standard header <stdlib.h> to declare an assortment of useful functions and to define the macros and types that help you use them.

EXIT_FAILURE

#define EXIT_FAILURE <rvalue integer expression>

The macro yields the value of the status argument to exit that reports unsuccessful termination.

EXIT_SUCCESS

#define EXIT_SUCCESS <rvalue integer expression>

The macro yields the value of the status argument to exit that reports successful termination.

MB_CUR_MAX

#define MB_CUR_MAX <rvalue integer expression >= 1>

The macro yields the maximum number of characters that constitute a multibyte character in the current locale. Its value is <= MB_LEN_MAX.

NULL

#define NULL <either 0, 0L, or (void *)0> [0 in C++]

The macro yields a null pointer constant that is usable as an address constant expression.

RAND_MAX

#define RAND_MAX <integer constant expression >= 32,767>

The macro yields the maximum value returned by rand.

abort

void abort(void);

The function calls raise(SIGABRT), which reports the abort signal, SIGABRT. Default handling for the abort signal is to cause abnormal program termination and report unsuccessful termination to the target environment. Whether or not the target environment flushes output streams, closes open files, or removes temporary files on abnormal termination is implementation defined. If you specify handling that causes raise to return control to abort, the function calls exit(EXIT_FAILURE), to report unsuccessful termination with EXIT_FAILURE. abort never returns control to its caller.

abs

int abs(int i);
long abs(long i); [C++ only]

The function returns the absolute value of i, |i|. The version that accepts a long argument behaves the same as labs

atexit

int atexit(void (*func)(void));

The function registers the function whose address is func to be called by exit (or when main returns) and returns zero if successful. The functions are called in reverse order of registry. You can register at least 32 functions.

atof

double atof(const char *s);

The function converts the initial characters of the string s to an equivalent value x of type double and then returns x. The conversion is the same as for strtod(s, 0), except that a value is not necessarily stored in errno if a conversion error occurs.

atoi

int atoi(const char *s);

The function converts the initial characters of the string s to an equivalent value x of type int and then returns x. The conversion is the same as for (int)strtol(s, 0, 10), except that a value is not necessarily stored in errno if a conversion error occurs.

atol

long atol(const char *s);

The function converts the initial characters of the string s to an equivalent value x of type long and then returns x. The conversion is the same as for strtol(s, 0, 10), except that a value is not necessarily stored in errno if a conversion error occurs.

bsearch

void *bsearch(const void *key, const void *base, size_t nelem, size_t size, int (*cmp)(const void *ck, const void *ce));

The function searches an array of ordered values and returns the address of an array element that equals the search key key (if one exists); otherwise, it returns a null pointer. The array consists of nelem elements, each of size bytes, beginning with the element whose address is base.

bsearch calls the comparison function whose address is cmp to compare the search key with elements of the array. The comparison function must return:

  • a negative value if the search key ck is less than the array element ce
  • zero if the two are equal
  • a positive value if the search key is greater than the array element

bsearch assumes that the array elements are in ascending order according to the same comparison rules that are used by the comparison function.

calloc

void *calloc(size_t nelem, size_t size);

The function allocates an array object containing nelem elements each of size size, stores zeros in all bytes of the array, and returns the address of the first element of the array if successful; otherwise, it returns a null pointer. You can safely convert the return value to an object pointer of any type whose size in bytes is not greater than size.

div

div_t div(int numer, int denom);
ldiv_t div(long numer, long denom); [C++ only]

The function divides numer by denom and returns both quotient and remainder in the structure div_t (or ldiv_t) result x, if the quotient can be represented. The structure member x.quot is the algebraic quotient truncated toward zero. The structure member x.rem is the remainder, such that numer == x.quot*denom + x.rem.

div_t

typedef struct {
    int quot, rem;
    } div_t;

The type is the structure type returned by the function div. The structure contains members that represent the quotient (quot) and remainder (rem) of a signed integer division with operands of type int. The members shown above can occur in either order.

exit

void exit(int status);

The function calls all functions registered by atexit, closes all files, and returns control to the target environment. If status is zero or EXIT_SUCCESS, the program reports successful termination. If status is EXIT_FAILURE, the program reports unsuccessful termination. An implementation can define additional values for status.

free

void free(void *ptr);

If ptr is not a null pointer, the function deallocates the object whose address is ptr; otherwise, it does nothing. You can deallocate only objects that you first allocate by calling calloc, malloc, or realloc.

getenv

char *getenv(const char *name);

The function searches an environment list, which each implementation defines, for an entry whose name matches the string name. If the function finds a match, it returns a pointer to a static-duration object that holds the definition associated with the target environment name. Otherwise, it returns a null pointer. Do not alter the value stored in the object. If you call getenv again, the value stored in the object can change. No target environment names are required of all environments.

labs

long labs(long i);

The function returns the absolute value of i, |i|, the same as abs.

ldiv

ldiv_t ldiv(long numer, long denom);

The function divides numer by denom and returns both quotient and remainder in the structure ldiv_t result x, if the quotient can be represented. The structure member x.quot is the algebraic quotient truncated toward zero. The structure member x.rem is the remainder, such that numer == x.quot*denom + x.rem.

ldiv_t

typedef struct {
    long quot, rem;
    } ldiv_t;

The type is the structure type returned by the function ldiv. The structure contains members that represent the quotient (quot) and remainder (rem) of a signed integer division with operands of type long. The members shown above can occur in either order.

malloc

void *malloc(size_t size);

The function allocates an object of size size, and returns the address of the object if successful; otherwise, it returns a null pointer. The values stored in the object are indeterminate. You can safely convert the return value to an object pointer of any type whose size is not greater than size.

mblen

int mblen(const char *s, size_t n);

If s is not a null pointer, the function returns the number of bytes in the multibyte string s that constitute the next multibyte character, or it returns -1 if the next n (or the remaining) bytes do not constitute a valid multibyte character. mblen does not include the terminating null in the count of bytes. The function can use a conversion state stored in an internal static-duration object to determine how to interpret the multibyte string.

If s is a null pointer and if multibyte characters have a state-dependent encoding in the current locale, the function stores the initial conversion state in its internal static-duration object and returns nonzero; otherwise, it returns zero.

mbstowcs

size_t mbstowcs(wchar_t *wcs, const char *s, size_t n);

The function stores a wide character string, in successive elements of the array whose first element has the address wcs, by converting, in turn, each of the multibyte characters in the multibyte string s. The string begins in the initial conversion state. The function converts each character as if by calling mbtowc (except that the internal conversion state stored for that function is unaffected). It stores at most n wide characters, stopping after it stores a null wide character. It returns the number of wide characters it stores, not counting the null wide character, if all conversions are successful; otherwise, it returns -1.

mbtowc

int mbtowc(wchar_t *pwc, const char *s, size_t n);

If s is not a null pointer, the function determines x, the number of bytes in the multibyte string s that constitute the next multibyte character. (x cannot be greater than MB_CUR_MAX.) If pwc is not a null pointer, the function converts the next multibyte character to its corresponding wide-character value and stores that value in *pwc. It then returns x, or it returns -1 if the next n or the remaining bytes do not constitute a valid multibyte character. mbtowc does not include the terminating null in the count of bytes. The function can use a conversion state stored in an internal static-duration object to determine how to interpret the multibyte string.

If s is a null pointer and if multibyte characters have a state-dependent encoding in the current locale, the function stores the initial conversion state in its internal static-duration object and returns nonzero; otherwise, it returns zero.

qsort

void qsort(void *base, size_t nelem, size_t size, int (*cmp)(const void *e1, const void *e2));

The function sorts, in place, an array consisting of nelem elements, each of size bytes, beginning with the element whose address is base. It calls the comparison function whose address is cmp to compare pairs of elements. The comparison function must return a negative value if e1 is less than e2, zero if the two are equal, or a positive value if e1 is greater than e2. Two array elements that are equal can appear in the sorted array in either order.

rand

int rand(void);

The function computes a pseudo-random number x based on a seed value stored in an internal static-duration object, alters the stored seed value, and returns x. x is in the interval [0, RAND_MAX].

realloc

void *realloc(void *ptr, size_t size);

The function allocates an object of size size, possibly obtaining initial stored values from the object whose address is ptr. It returns the address of the new object if successful; otherwise, it returns a null pointer. You can safely convert the return value to an object pointer of any type whose size is not greater than size.

If ptr is not a null pointer, it must be the address of an existing object that you first allocate by calling calloc, malloc, or realloc. If the existing object is not larger than the newly allocated object, realloc copies the entire existing object to the initial part of the allocated object. (The values stored in the remainder of the object are indeterminate.) Otherwise, the function copies only the initial part of the existing object that fits in the allocated object. If realloc succeeds in allocating a new object, it deallocates the existing object. Otherwise, the existing object is left unchanged.

If ptr is a null pointer, the function does not store initial values in the newly created object.

size_t

typedef ui-type size_t;

The type is the unsigned integer type ui-type of an object that you declare to store the result of the sizeof operator.

srand

void srand(unsigned int seed);

The function stores the seed value seed in a static-duration object that rand uses to compute a pseudo-random number. From a given seed value, that function always generates the same sequence of return values. The program behaves as if the target environment calls srand(1) at program startup.

strtod

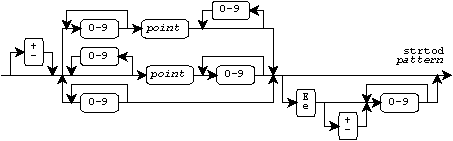
double strtod(const char *s, char **endptr);

The function converts the initial characters of the string s to an equivalent value x of type double. If endptr is not a null pointer, the function stores a pointer to the unconverted remainder of the string in *endptr. The function then returns x.

The initial characters of the string s must consist of zero or more characters for which isspace returns nonzero, followed by the longest sequence of one or more characters that match the pattern:

Here, a point is the decimal-point character for the current locale. (It is the dot (.) in the "C" locale.) If the string s matches this pattern, its equivalent value is the decimal integer represented by any digits to the left of the point, plus the decimal fraction represented by any digits to the right of the point, times 10 raised to the signed decimal integer power that follows an optional e or E. A leading minus sign negates the value. In locales other than the "C" locale, strtod can define additional patterns as well.

If the string s does not match a valid pattern, the value stored in *endptr is s, and x is zero. If a range error occurs, strtod behaves exactly as the functions declared in <math.h>.

strtol

long strtol(const char *s, char **endptr, int base);

The function converts the initial characters of the string s to an equivalent value x of type long. If endptr is not a null pointer, it stores a pointer to the unconverted remainder of the string in *endptr. The function then returns x.

The initial characters of the string s must consist of zero or more characters for which isspace returns nonzero, followed by the longest sequence of one or more characters that match the pattern:

The function accepts the sequences 0x or 0X only when base equals zero or 16. The letters a-z or A-Z represent digits in the range [10, 36). If base is in the range [2, 36], the function accepts only digits with values less than base. If base == 0, then a leading 0x or 0X (after any sign) indicates a hexadecimal (base 16) integer, a leading 0 indicates an octal (base 8) integer, and any other valid pattern indicates a decimal (base 10) integer.

If the string s matches this pattern, its equivalent value is the signed integer of the appropriate base represented by the digits that match the pattern. (A leading minus sign negates the value.) In locales other than the "C" locale, strtol can define additional patterns as well.

If the string s does not match a valid pattern, the value stored in *endptr is s, and x is zero. If the equivalent value is too large to represent as type long, strtol stores the value of ERANGE in errno and returns either LONG_MAX, if x is positive, or LONG_MIN, if x is negative.

strtoul

unsigned long strtoul(const char *s, char **endptr, int base);

The function converts the initial characters of the string s to an equivalent value x of type unsigned long. If endptr is not a null pointer, it stores a pointer to the unconverted remainder of the string in *endptr. The function then returns x.

strtoul converts strings exactly as does strtol, but reports a range error only if the equivalent value is too large to represent as type unsigned long. In this case, strtoul stores the value of ERANGE in errno and returns ULONG_MAX.

system

int system(const char *s);

If s is not a null pointer, the function passes the string s to be executed by a command processor, supplied by the target environment, and returns the status reported by the command processor. If s is a null pointer, the function returns nonzero only if the target environment supplies a command processor. Each implementation defines what strings its command processor accepts.

wchar_t

typedef i-type wchar_t; [keyword in C++]

The type is the integer type i-type of a wide-character constant, such as L'X'. You declare an object of type wchar_t to hold a wide character.

wcstombs

size_t wcstombs(char *s, const wchar_t *wcs, size_t n);

The function stores a multibyte string, in successive elements of the array whose first element has the address s, by converting in turn each of the wide characters in the string wcs. The multibyte string begins in the initial conversion state. The function converts each wide character as if by calling wctomb (except that the conversion state stored for that function is unaffected). It stores no more than n bytes, stopping after it stores a null byte. It returns the number of bytes it stores, not counting the null byte, if all conversions are successful; otherwise, it returns -1.

wctomb

int wctomb(char *s, wchar_t wchar);

If s is not a null pointer, the function determines x, the number of bytes needed to represent the multibyte character corresponding to the wide character wchar. x cannot exceed MB_CUR_MAX. The function converts wchar to its corresponding multibyte character, which it stores in successive elements of the array whose first element has the address s. It then returns x, or it returns -1 if wchar does not correspond to a valid multibyte character. wctomb includes the terminating null byte in the count of bytes. The function can use a conversion state stored in a static-duration object to determine how to interpret the multibyte character string.

If s is a null pointer and if multibyte characters have a state-dependent encoding in the current locale, the function stores the initial conversion state in its static-duration object and returns nonzero; otherwise, it returns zero.


See also the Table of Contents and the Index.

Copyright © 1989-1996 by P.J. Plauger and Jim Brodie. All rights reserved.