This website requires JavaScript.
Explore
Help
Register
Sign In
lostecho
/
oldlinux-files
Watch
1
Star
0
Fork
0
You've already forked oldlinux-files
Code
Issues
Pull Requests
Actions
Packages
Projects
Releases
Wiki
Activity
Files
32616db5a4cd0116ad5c684fdab07c0e6eb3aed5
oldlinux-files
/
Ref-docs
/
C
/
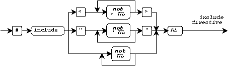
include.gif
gohigh
ef50495c9d
add directory Ref-docs
2024-02-19 00:21:47 -05:00
1.8 KiB
453x132px
Raw
History
Reference in New Issue
View Git Blame
Copy Permalink