Minimal and Clean blog theme for Hugo

56-25.学习的真相.生产导向


抽象的来看呢,到最后啊这世界只有两种人,那一种人呢叫生产者,一种人呢叫消费者。 人类呢天生就是消费者,所以呢绝大多数人最终只能通过学习获得生产能力。 以边能用自己的收入啊支撑自己的生活。 于是呢到最后大多数人呢既是消费者,也是生产者。 当然了,最终也的确有一部分人只是消费者,就是我们说的寄生虫。 。

进而呢嗯生产者也只有两种,一种呢叫组织者,一种呢叫参与者。 绝大多数人呢最终都变成了参与者,而不是组织者。 因为生产啊永远也只能是啊永远是也只能是他是一种复合技能,对吧? 很可惜的是什么呢? 绝大多数人被教育成了专才啊,不仅如此哈,他们被教育成专才之后呢,还引以为豪。 这个专才呢虽然厉害,但再厉害呢都无法成为组织者。 因为啊只有通才才能胜任组织工作。 只有通才才能胜任组织工作,。

嗯,之前我就提到过哈,我在新东方做7年的小学工作,见过很多人哈离开新东方创业啊,这个创业的创带个引号哈。 呃,之所以带个引号呢,是因为他们其实压根就没有创新任何东西。 因为他们出去做的事情,就是开个学校,事实上干的事情跟新东方一模一样啊,他们通常并不成功啊,原因并不在于他们没有创新,真正的根源在于他们并不是通才,他们了不起,只不过是专才,那俞伟红的厉害之处呢,不仅在于讲课讲的好,更在于他卖课卖得好,人家不仅上擅长生产,还擅长销售啊,只会生产,不会销售,那就不会有收入嘛,对吧 ? 没有收入就没有利润,没有利润就坐吃上空。 啊这实际上是非常明显的事实。 。

生产啊或者组织生产需要很多技能的复合,嗯,不只是生产和销售,你还得有很强的统筹能力。 你想啊哪哪都需要统筹,生产过程需要统筹,销售过程需要统筹,财务管理需要统筹,人力资源需要统筹。 对那不仅需要统筹能力,你还得有很强的协调能力。 你想啊哪哪都要协调,供应商之间需要协调,批发零售商之间啊需要协调,生产部门和销售部门之间需要协调,对,你还得有很强的人际关系处理能力。 你想啊这上下级之间,同事之间部门之间都有人际关系。 如果你没有足够的洞察,一切都可能乱投。

这个最经典的例子是什么呢? 就是蒋介石啊喜欢搞暗杀啊,喜欢用美人计对。 而周恩来同志呢却知道这些方式再快速有效都不能用。 因为他们会反过来请示自己的组织和组织内的人际关系。 你看事实上到最后啊,发生的这个这个啊差异就很明显了。 你千万不要以为哈政治家不是生产者,其实古今中外都一样的。 政治家获取权利之后,最重要的工作就是组织生产。 。

那重点在于说哈学习呢是获取生产能力的唯一来源啊,这一点无论怎么强调的不过分哈,学习是获取生产能力的唯一来源。 人类的大脑在出生时不可能预装一个生产系统啊,不可能预装一个生产模型,他最初所有功能只有一件事,就是先活下来再说,现代人成长为生产者的困境,主要来自于学习的漫长。 当然更可能是教育体制人为制造的漫长哈。 你想啊小学家初中九年义务教育,高中有3年,本科在四年,一下子16年就答进去了。 那如果8岁上学毕业的时候呢,就已经24岁了,啊要命的是哈,那么漫长的过程,16年之间里,竟然完全都不是以打造生产者为目标,而是以打造生产参与者为目标啊,这里面是有巨大区别的。

这还不算哈,16年的时间里,绝大部分时间实际上被浪费掉了,太多的时间浪费在于生产脱节的东西上。 于是呢嗯大学毕业之后去找工作,竟然很难。 你想啊那么高昂的教育费用,丝毫看不到回本的希望,到最后呢,很多人哈竟然变成了工作是为了回本。 这其实是非常可惜却可怜的生活状态。 。

在把孩子培养成生产者、生产组织者这事儿上,那家长呢是绝对不能指望学校的。 任何学校我们现在看到的在这方面都不行,他无论多昂贵,他无论多著名啊,我明确的告诉大家,在把孩子培养成生产者,培养成生产组织者这件事上,你绝对不能指望学校,谁指望谁倒霉,对吧? 那家长能够指望谁呢? 当然。

抽象的来看呢,到最后啊这世界只有两种人,那一种人呢叫生产者,一种人呢叫消费者。 人类呢天生就是消费者,所以呢绝大多数人最终只能通过学习获得生产能力。 以边能用自己的收入啊支撑自己的生活。 于是呢到最后大多数人呢既是消费者,也是生产者。 当然了,最终也的确有一部分人只是消费者,就是我们说的寄生虫。 。

16e580a4-ba5d-4608-93e5-d408fab789fa.png

Read more ⟶

55-24.学习的真相.学习障碍


.

大家还记得当初哈我们段言说学习很简单的时候,那一瞬间你所感受到的那种难以置信,以及你心中那一丝丝的不安嘛,其实呢原因也是非常清楚的。 你之所以感觉难以置信,你之所以有一丝丝不安,因为学习很简单,这个断言与你一直以来的感受,非常不一样,它不是有一点点不一样。 干脆是截然相反,学习极为困难,才是你一直以来的。

现在请你想象一下哈,嗯假装你是一个拆弹专家啊,拆炸弹的专家,现在需要像电影里那样去拆掉恐怖分子,安置在大楼里的炸弹。 那你是专家哎,你找到了炸弹,你知道如何拆弹,你也知道如何克服自己的恐怖惧,但你知道你最怕什么吗? 作为专家最怕的是眼前的这个炸弹到底有没有用你现在并不知道的某种方式,连接着你现在完全不知道他在哪里的另外一颗炸弹。 当然令人绝望的是,还有个倒计时秒表在滴达作响。

事实上呢。

事实上呢,一切的复杂都是由许多个简单构成的,再复杂的东西,只要构成它的组件都很清楚,组件之间的关联都很明确。 那么实际上它依然是简单的。 大家还记得之前关于知识的模型吧。 就是所有的知识都是由两个要素构成的啊,一个是模型,一个是模型之间的关联,无论是模型还是模型之间的关联,都必须要清晰准确必要。 。

9293a8ed-9ce5-4639-972d-3b684525d501.png

那为了构建更多更复杂的、更灵活的、更有用的模型,那所有的子模型和原模型啊都应该且只能是简单的。 否则就无法反复利用他们持续构建,持续拓展。 这是人类的伟大之处。 人类呢不仅进化出了自然语言。 而且呢在发展过程当中意识到了简单和毫无歧义的重要性和必要性,于是呢在各个领域里都发展出了相应的人工语言,所以呢到最后啊真正有用的东西只能是简单的。 这句话很重要,再重复一遍,真正有用的东西,它只能是简单的。

那为了构建更多更复杂的、更灵活的、更有用的模型,那所有的子模型和原模型啊都应该且只能是简单的。 否则就无法反复利用他们持续构建,持续拓展。 这是人类的伟大之处。 人类呢不仅进化出了自然语言。 而且呢在发展过程当中意识到了简单和毫无歧义的重要性和必要性,于是呢在各个领域里都发展出了相应的人工语言,所以呢到最后啊真正有用的东西只能是简单的。 这句话很重要,再重复一遍,真正有用的东西,它只能是简单的。

进而呢我们刚才说啊未察觉的关联,那指的是什么呢? 指的是那些单个个体,因为知识或者训练的欠缺,所以他们没有察觉到的关联。 比如说在之前我们提到过的logo设计的例子里,那么作者虽然自以为是设计。

进而呢我们刚才说啊未察觉的关联,那指的是什么呢? 指的是那些单个个体,因为知识或者训练的欠缺。 所以他们没有察觉到的关联。 比如说在之前我们提到过的logo设计的例子力。 那么作者虽然自以为是设计师跟引号的设计师哈,所以他拿出来的却实显然不及格的产品,不及格的作品。 啊,那显然了,基于种种原因,这个所谓的设计师,他从未收到过恰当的必要的几何训练。 几何其实是一切绘画和设计的必须。 。

不是因为你是艺术生,你就不需要学几何的那简单且必要的几何训练。 我随便说几个,第一个什么天下所有的形状都是由曲线构成的哪怕一条直线也只不过是曲度为零的曲线,那再说一个一切完美的图形都跟完美的语圆是有关系的。 一切完美的图形都跟完美的圆有关系,比如说哈你到网上去找一找,如何画一个完美的五角星。 ,然后再说一个,对吧? 比如说透视是在2D纸面上展现3D世界的基础技法,对吧? 你看这些都是几何哎,对吧? 然后呢都跟绘画有关,但是很多人不知道应该去学几何。

刚才我说的一切都是由曲线构成的,一切完美的图形都跟完美的缘有关系啊,透视呢其实是在2D纸面上展现3D事件的基础技法。 所有这些啊并不是非要上完所有几何课才能知道或者理解的东西,这也不一定是要懂数学才可以去练的东西。 甚至呢我告诉你,连学龄前儿童都可以多少有一点认知。 但是呢如果这一点的训练缺失了,那么画出来东西就不可能优美,这是没办法的事情。 啊,这个呢就是很多人未察觉到的关联。 。

Read more ⟶

54-23.学习的真相.判断依据


据说啊,这个人们除了无法高估自己的银行存款余额之外呢。

1999年的时候呢,康康奈尔大学啊有两位教授啊,一位叫杜宁。 另外一系列的实验呢去考察人们的自我认知和自我评估。 最终呢发表了一篇论文啊,名字叫无能与无知啊,对自身无能的认知困难如何导致无端自负啊,这篇论文呢用我的话总结下来就是什么呢? 就是越差越牛逼啊杜宁和克鲁格的研究结果是成绩最差的学生对自我水平的认知偏差最大就那些出于末文水平12%的学生当中有88%的人坚信啊,自己的百分比等级啊至少应该是67%啊,这个百分比等级什么意思呢? 67%的意思是说有67%的比他们差。

无能与无知:对自身无能的认知困难如何导致无端自负

https://www.researchgate.net/publication/12688660_Unskilled_and_Unaware_of_It_How_Difficulties_in_Recognizing_One%27s_Own_Incompetence_Lead_to_Inflated_Self-Assessments

然而呢,从另外一个角度看啊,这个越差越牛逼,其实并不意味着说越强越谦虚。 即便是那些能力强的人,也不见得不会高估自己啊,在团队合作的过程当中啊,这种我的更好啊,化为我的贡献更重要啊,是特别常见的。 每个人呢都会高估自己贡献所占的百分比啊,若是把大家自我评估的百分比加在一起,那一定会远超百分之百啊,团队的人数越多那超过1100%的部分就越多。

比如说哈10个人的团队啊,各自把自我评估啊贡献度的百分比加起来之后,可能会高达300%以上啊。 芝加哥大学呢有个教授哈叫尼古拉艾普利啊,针对这个现象写了篇论文,叫团队越大,夸大贡献越普遍。 。

https://www.nicholasepley.com/publications

1999年的时候呢,康康奈尔大学啊有两位教授啊,一位叫杜宁。 另外一系列的实验呢去考察人们的自我认知和自我评估。 最终呢发表了一篇论文啊,名字叫无能与无知啊,对自身无能的认知困难如何导致无端自负啊,这篇论文呢用我的话总结下来就是什么呢? 就是越差越牛逼啊杜宁和克鲁格的研究结果是成绩最差的学生对自我水平的认知偏差最大就那些出于末文水平12%的学生当中有88%的人坚信啊,自己的百分比等级啊至少应该是67%啊,这个分比等级什么意思? 67%的意思是说有67%的比他们差。

之前啊我们说哈我们其实可以有三个大脑的时候,实际上指的是记忆的大脑啊有关记忆的大脑。 当时我们还用了另外一个类比啊,就是要是拿电脑做类比的话呢,那就是你原本有一块内置硬盘,然后呢你还可以有一块外置硬盘。 再然后呢,你还可以有一块云端硬盘,这样不就是三个记忆的大脑了嘛。 对? 事实上呢,思考的大脑就好像是电脑上的中央处理器所谓的CPU啊,我们其实也可以有三个,我们可以有3个CPU的前提是你愿不愿意,前提是你用不用。

也许呢你看过一些哈选秀节目,在海选的过程当中哈,最常遇到的这种情况是什么样子的呢? 就是一个人登台表演才艺,然后所有人都觉得惨不忍睹,甚至忍不住替对方尴尬。 那直到评委哈,因为时间所限,所以不得不打断啊,不客气的告诉对方,他被淘汰了。 那刚才在台上表演的那个。

1999年的时候呢,康康奈尔大学啊有两位教授啊,一位叫杜宁。 另外一系列的实验呢去考察人们的自我认知和自我评估。 最终呢发表了一篇论文啊,名字叫无能与无知啊,对自身无能的认知困难如何导致无端自负啊,这篇论文呢用我的话总结下来就是什么呢? 就是越差越牛逼啊杜宁和克鲁格的研究结果是成绩最差的学生对自我水平的认知偏差最大就那些出于末文水平12%的学生当中有88%的人坚信啊,自己的百分比等级啊至少应该是67%啊,这个分比等级什么意思? 67%的意思是说有67%的比他们差。

“元认知”(Meta-recognition)

实上啊这个能力从一开始就存在的,只是最初的时候不那么容易被察觉到而已。 原认知呢经常会在睡梦当中自动启动对? 你在梦里可能会想我这是在做梦吧。 很多人呢甚至习惯了这种感受哈,于是在知道自己正在做梦的情况下,把梦继续做下去,我不知道你有过没有啊,据说呢换个姿势的话呢,梦境就被打断了。 于是呢甚至有人在做美梦的时候啊,意识到自己在做梦,不小心换了个姿势之后呢,因为那个实在是个太美的美梦了,所以呢就故意换回原来的姿势继续睡啊,尽量回到原来的那个美梦当中去。 。

之前啊我们说哈我们其实可以有三个大脑的时候,实际上指的是记忆的大脑啊有关记忆的大脑。 当时我们还用了另外一个类比啊,就是要是拿电脑做类比的话呢,那就是你原本有一块内置硬盘,然后呢,你还可以有一块外置硬盘。 再然后呢,你还可以有一块云端硬盘,这样不就是三个记忆的大脑了嘛。 对? 事实上呢,思考的大脑就好像是电脑上的中央处理器所谓的CPU啊,我们其实也可以有三个,我们可以有3个CPU的前提是你愿不愿意,前提是你用不用。

所以呢要是拿电脑做类比的话呢,那就是你原本有一块CPU即所谓的中央处理器。 然后呢,你还可以有一块监督第一块CPU的CPU对,这就是第2块CPU了。 再然后呢你还可以有一块外部的CPU对好了,那我们现在这个类比拿过来之后说那个监督第一块CPU的另外一块CPU或者说监督第一块CPU的第2块CPU其实呢就是原认知原认知是由什么构成的呢? 说来真的很简单,所谓的原认知,无非是由一个又一个针对不同情况而制定的判断依据构成的从这个角度望过去哈,那所谓的外部CPU无非是外部的判断依据他人的判断依据或者是社会的判断依据而已。 对? 也就说可能是个外部的CPU集群。

Read more ⟶

53-22.学习的真相.学习计划


无论是多么完美的计划都有可能失败的那每次计划失败的时候呢,人们都会发出同样的慨叹,说哎计划它不如变化快。 那见多了这种情况呢,人们就再也不想做什么计划了。 一般来说啊计划失败的最根本原因来自于不确定性。 啊,不去不确定性越高啊,意外就越多,计划呢越难以成功。 只要你做过一两次哈旅行计划就明白这个道理了。 那独自出行那倒无所谓的,即便是出了意外,相对也更好处理,起码呢无需协调嘛,可是若是随便多成几个人就一定会很麻烦。 因为人越多,不确定性越高,意外越多。 那到了一定程度呢,一切都会乱逃。 。

越是长期的计划越容易不了了之。 那原因呢也在这里,因为这个不确定性呢,它最好的引身之处就是在时间里,那时间越久呢,其中潜伏的意外就越多越大越出其不意。 要不然呢也谈不上是意外嘛,所以呢通常情况下,短期计划更靠谱一些。 短期计划更靠谱。 啊,相对于长期计划来说,。

学习呢它不是短期的行为,它是长期的任务,它可以也应该是每个人终生从事的工作。 啊,这里呢需要额外补充一下哈,工作这个措辞其实很重要的,值得所有的父母尽早与孩子沟通,啊,工作,他是工作别人可能哈嗯是为了父母学习,为了成绩学习,为了获得朋友啊,的羡慕而去学习啊,为了将来找工作而学习,但是对我们来说,学习从一开始他就是工作不需要找工作,他就是工作建设自己的大脑皮层的工作,重生至死一直要做且无法辞职的工作 。 工作是有自我要求的,任何具备一定自尊,拥有一定人格的人都会对自己的工作有。

有一定的要求的啊,工作的人呢有两种,一种是为别人工作的人,一种是为自己工作的人。 你千万不要误以为哈只有老板才是为自己工作的。 哪怕是同样拿别人发的薪水啊,那工作的人呢也分为这两种的这两种人啊,他有不同的自尊,不同的人格。 为自己的工作的人呢啊为自己工作的人呢,哪怕拿着别人的薪水,也会把事情当做自己的事去做。 啊用自己的自尊和人格去应对各种任务,他们总是不由自主的超额工作啊,而不是对得起薪水就可以了。 对得起工资就可以了。 跟那种够用即可的态度啊,这是非常非常不一样的。 所以呢啊所有的父母都要应该尽早的哈与自己的孩子沟通,学习对我们来说是工作。

话说话来,虽然学习是终生的工作,是长期的任务,但是呢学习是值得计划的。 首先呢它跟旅游不一样啊,因为学习的不确定性,其实相对很少,甚至呢压根就没有,什么都值得学,什么都可以学学什么都有用,学什么都耗时费力,完全没有什么意外。 那关键在于说,即便学习是长期的事情。 但是呢它是有许多个短小的阶段许多个不同的短期任务构成的。 那每一个任务每一个阶段事实上都一样,靠的都是一模一样的努力,努力是什么来着? 短时间内足量重复,所以呢无论时间拉的多长,不确定性在这个特殊的领域里都无处藏身。

很多人并不知道啊,仅仅拿出纸笔,根据时间大致罗列一下自己的学习任务,从来就不可能是有效的学习计划。 我再重复一遍哈,就仅仅拿出纸笔来根据时间大致罗列一个自己的学习任务,那从来都不可能是有效的学习计划,那每个学校每个年级每个班级其实都一样的。

其实呢真正有效的学习计划其实非常简单,也非常有效。 因为他只需要计划复习任务就行了。 我再重复一遍啊,真正有效的学习计划啊,是计划复习任务。 那在学校里呢尤为如此,在学校里啊,每个时间段做什么事情,大致早就有了安排,日复一日循环晚会的流程也非常明确,课前呢要预习课中呢要认真听下课后呢要复习,注意啊,只有复习这个环节是需要计划的。 剩下的呢按部就班就好了嘛。 啊,。

即便啊不是在学校里,事实上也是差不多的。 因为我们早就知道了,诸如短时间内逐量重复啊,甄别什么是关键基础,什么是最少必要知识,之类这种重要且耗时费力的工作。 说实话,计划帮不上任何忙。 对? 校内校外都一样,学习只有面向未来的那个环节需要计划。 我再重复一遍啊,校内校外都一样的。 那学习中啊,只有面向未来的那个环节,面向未来的那些环节才需要计划,那符合这个标准且最重要的那就只剩下学习了嘛。

学习中只有 “面向未来” 的那些环节需要计划 —— 符合这个标准且最重要的,只有 “复习” 了。、

Read more ⟶

52-21.学习的真相.三个大脑


今天呢再告诉你一个秘密哈,你不要太惊讶,我其实也有点不好意思。 因为说的好像我秘密武器实在是太多了似的啊,那这个秘密是什么呢? 就是你其实啊可以拥有三个大脑,而不仅仅是一个,我再重复一遍哈,就是你其实呢可以拥有三个大脑,而不仅仅是一个哎。 😊

你其实可以拥有三个大脑…… 而不仅仅是一个。

请你注意措辞啊,可以拥有,是可以,而不仅仅是可能。 但与此同时呢仅仅是可以啊,而不是一定会有。 什么意思呢? 就是你可以有三个大脑,但是有个前提是要看你自己愿意还是不愿意。 对啊? 在法院竹林中哈,佛家说恶神阿修罗呢是有三头八臂的西游记里讲呢,哪吒是三头六臂的,于是呢在今天的中文里有个成语叫三头六臂啊用来比喻一个人哈,本领大力量可畏啊,你先别管哈,胳膊有几条哈,但是你想若是脑子真的竟然有三个啊,一定很了不起的 。 。

这个你的大脑皮层啊,当然天生就是你自己的,还有前提的啊,前提是你真的用啊,你不用就不是你自己的对? 它天生看起来是你自己的。 然后呢,然后你还可以用你的笔记系统当做你的第二个大脑。 那再然后呢,我告诉你,互联网和搜索引擎出现之后,其实你可以把整个互联网当做一个图书馆,有收费的部分,也有免费的部分,对? 甚至你可以直接把云端整个云端当做我们的第三个大脑。 要是拿电脑做类比的话哈,那就是你原本有一块啊内置硬盘,然后呢,你还可以有一块外置硬盘。 再然后呢你还可以有一块云端硬盘,。

我们的第一个大脑啊,事实上可以通过训练变得更大更强更快。 我自己很少使用各种花里胡哨的记忆术哈,我只用最朴素的短时间内足量重复,从来没觉得低效啊,也从来没觉得负担。 但是呢? 我的确经历过一次重大的飞跃,是什么时候呢? 就是在我习得当众演讲能力之后啊,在我习德当众演讲的能力之后。

这背后的激励其实都是我们讲过的那首先呢只要必要,我们总是可以获得更强的能力。 其次呢,没有任何能力,它是孤立的啊,能力之间都是相互关联,相互促进的。 当然这里的重点也是我们已经知道的。 那一切讲演的核心就是复数嘛。 而复数还真的是提高记忆力的有效手段之一。 那我刚刚说的经历说明什么呢? 说明大量复数是最有效的。 为什么因为大脑皮层总是奖励超额学习,我再重复一遍,因为我们都知道了,大脑皮层。

这个你的大脑皮层啊,当然天生就是你自己的,还有前提的啊,前提是你真的用啊,你不用就不是你自己的对? 它天生看起来是你自己的。 然后呢,然后你还可以用你的笔记系统当做你的第二个大脑。 那再然后呢,我告诉你,互联网和搜索引擎出现之后,其实你可以把整个互联网当做一个图书馆,有收费的部分,也有免费的部分,对? 甚至你可以直接把云端整个云端当做我们的第三个大脑,要是拿电脑做类比的话哈,那就是你原本有一块啊内置硬盘,然后呢,你还可以有一块外置硬盘。 再然后呢你还可以有一块云端硬盘。 。

你讲的东西对别人有用,当然是本分。 然而每一场演讲都对我自己更有用。 演讲能力的习德直接把我的记忆力向上拔了好几个高度。 你想啊这一场90分钟的演讲大约相当于要说1万字。 如果你语速快的话,就可能是15000字,对吧? 也就是说哈这些都得装在你的脑袋里,。

那么多的信息啊,要有逻辑啊,要有顺序,必要的时候呢,还要根据现场反应重新组织。 那一个论点呢,虽然在台上可能需要讲三个例子或者三个理由。 但是实际上需要准备很多个,因为要根据现场情况选择最恰当的那些,那如果你遇到重复的听众,就要彻底换掉。 否则他们会觉得不新鲜,他们甚至会觉得枯燥,不于是呢这一场90分钟的演讲啊,脑子里要装的东西,写出来弄不好顶两三万字才够用。 。

现在说这其中的关键信息啊,人名啊、地名啊、数字啊、年代啊,尤其是抽象的顺序都要准确无误啊,并且还要做到,无论现场出现了多么诡异的问题,都能够熟练自如的应对。 那我就遇到过若干次现场停电的情况,停电了,那我也能拉光嗓门继续讲下去。 啊,直到演讲结束,那最夸张的一次呢,是我眼角膜受伤,于是呢只好蒙着眼睛坐在台上讲了一整天前后6个小时的课程。 现场依然火爆啊,动不动就掌声雷动。 。

Read more ⟶

51-20.学习的真相.必要关联


由于已经重复过很多次了哈,所以现在我们早就知道了,就是所有的知识都是由两个要素构成的。 第一个是模型,第二是模型之间的关联对? 无论是模型还是模型之间的关联,都必须什么呢? 叫清晰准确必要。 对,所以这两个要素分别是清晰准确必要的模型,以及这些清晰准确必要的模型之间的清晰准确必要的关联。

a8a400ed-5bfe-4afa-bc20-938747e44604.png

对任何一个模型来说,最重要的呢,当然就是定义啊当一个模型定义足够清晰的时候,我们对它不会有任何误解,这就是毫无起义的作用。 当一个模型的定义足够准确的时候,我们会因此知道那个模型究竟是什么,不是什么,与什么类似,但区别究竟在哪里等等等等。 随后再把这个模型当做主体。 那么我们就可以去深入了解那个模型的机制和用法。 当然我们会相对更多的关注用法,怎么用是对的,怎么用是错的,怎样才能用好,都需要注意哪些方面。 啊,当然了,最终如果我们发现一个模型竟然是不必要的话,我们就应该抛弃它,并且必须毫无犹毫不犹豫的抛弃它。

5cac91ef-1cb7-4ef6-92f7-c2e8b7638c6d.png

对正在上学的学生来讲啊,有一个捷径,家长呢一定要想办法给自己的孩子讲清楚这个捷径,就是拿到任何一本教材之后呢,第一时间就把这本教材里重要的概念及其定义全都摘抄在一张纸上其实任何科目的教材都是一样的。 因为他们其实都是关于抽象知识的,于是呢只能是本质相同的,他们基本上都是每张最重要的概念就那么一个而已啊一张就一个那么重要的概念对? 然后呢,一本书十几张学一学期,那就是十几个概念而已。 教科书里的概念呢都是清晰准确必要的啊,他的定义当中的每个字都是不可或缺的,每个字都无需增减的,否则呢那个教材就不合格。 ? 然后呢重点来了,把这张纸背下来,死记硬背,一个字都不能查。

我们啊一般会倾向于认为说我们只能记住我们已经理解的东西。 然而呢,这是片面的认知,这只是一方面的认知。 我们必须把这句话里的只能换成确实能我们确实能记住我们已经理解的东西。 但是呢另外一方面同样重要,仔细听啊,我们更容易理解我们已经记住的东西,我再重复一遍,我们更容易理解我们已经记住的东西。 因为那东西已经在脑子里了,所以大脑会不由自主的更多的访问他们连接他们,甚至不经意间会把他们与那些原本看起来没有关系的东西关联一下事实,于是呢一切深入理解的前提,其实都是完整的记忆。 。

9bb99ef0-6f1b-4a4d-88f4-73a4de4b5d38.png

也就是说啊这个记忆与理解其实是相辅相成的啊,它不是单向的对,我们过去的理解太过片面了。 我们单向的以为说我们更容易记住我们已经理解的东西,所以呢我们强调理解。 然后呢啊这个这个啊讨厌或者是啊剔除了所谓的死记硬背对,但是呢反过来哈事实上还有另外一面,就是我们更容易理解我们已经记住的东西。 啊,所以呢死记硬背其实是对啊理解有很大帮助的对,它是相辅相成的关系。 所以说呢背下一张纸区区十几个概念,基本上也就是一个下午的工作量而已。 那有监督有辅助,那就更好。 但这一点点的工作量。 会在未来的一整个学期里发挥巨大的作用。 。

你想啊其他人呢上课的时候在学新的东西,第一次听到,可是呢你却不一样,你确实是在进一步理解你已经记住且早已不知道访问了多少遍的东西。 那你想想看这之间的差别是不是实在太大了呢。 我呢在很小的时候被我母亲逼着这么做过一次,对? 从那之后呢,占了便宜的我每学期都这么去做,于是呢就不断的占便宜,占这个便宜成了习惯。 整个上了学的过程当中,你想啊上课再怎么走神啊,学校里再怎么淘气,那给人的感觉哈,再怎么心不在焉,其实都不重要。 我从来都没有觉得学习费劲过对? 虽然呢从来不是什么学霸哈,但无论如何都不可能是学渣嘛,。

我们接着讲,那每个模型都应该有清晰准确必要的定义,而每个模型本身也应该清晰准确必要。 那么模型之间那清晰准确且必要的关联都有哪些呢? 啊,关联啊其实呢最基础的无非是以下三种啊,叫分类比较和因果分类比较和因果?

a817d884-cbb4-453e-a197-01f1f18fd80e.png

比如啊我们现在有两个模型A和B。 那么第一种可能的关联就是比较关联嘛。 那基础的问题无非是以下这么些啊,A属于B吗? 或者反过来B属于A吗? 或者说A和B之间有没有交集呢? 有什么既属于A,又属于B呢? 有什么属于A,但不属于B呢? 有什么不属于A,但属于B呢? 有什么也要么属于A,也要么属于B呢? 对就是他们之间的关联啊,分类的关联其实就是这些。

Read more ⟶

50-19.学习的真相.流程而已


现在我们知道了哈所有的活跃神经元其实都同处于同一个网络。 所以呢到网络需要传递信号的时候呢,无论是从哪个神经元发出也无论是最终要传递到哪个神经元。 其实呢整个网络都会根据节能原则啊,并且呢总是优先选择最通畅的啊连接去传递信号。 从这个角度望过去的话,我们平日里所说的习惯啊,习惯其实只不过是神经元之间,因为最直接最通畅,所以最常用的连接而已。 我再重复一遍啊,所谓的习惯呢,其实只不过是什么呢? 是神经元之间因为最直接最通畅,所以最常用的连接。 。

所谓 “习惯” 其实只不过是 “神经元之间因为最直接最通畅所以最常用的连接” 而已。

从这个角度去理解习惯,就是所谓的习惯其实只不过是神经元之间,因为最直接最畅通,所以最常用的连接而已啊。 这个理解很重要的。 因为首先啊这么做能够让我们清晰的理解,为什么我们总是会感觉教育呢总是拗不过习惯。 其次呢这么去理解习惯呢,也能让我们重新认识很多平日里人们定义始终模糊的概念啊,或者说模型,比如说性格比如说人品。 性格和人品啊,其实呢都是定义非常模糊的概念。 但从我们这个理解望过去就非常清楚了。

从神经元网络看过去呢,最简单的习惯只不过是两个神经元之间或者两个功能模块之间的连接,而最复杂的习惯,也只不过是多个神经元之间或者多个模块之间的顺序连接,他一定是按顺序来的对吧? 顺序连接。 你还记得之前我们讲过顺序很重要吗? 啊也就是说哈,即便是最复杂的情况,也只不过是流程管理中最简单的方式啊,流程管理。 什么叫流程管理呢? 。

34dcc78e-d79a-417a-bf39-7dc91ff8cd1c.png

天下所有的程序啊本质上都是以完成任务为目标的流程管理。 而天下所有的流程啊都可以由以下三种模块构成啊,这是一篇哈特别著名的论文啊,1966年出版的论文当中啊提到的被科学计算机科学家们哈啊成为所谓的结构化程序定理啊,结构化程序定理。 那三种模块呢就是顺序循环和分支。 那为了分支呢就要先做判断,对吧? 所以第三个呢叫判断与分支,对吧? 那我们简称分支啊顺序循环分支对吧? 这三个模块呢啊能够构成天下所有的流程,也就是说天下一切的任务的执行流程,都是由这三个模块构成的。 那你来看,所谓的习惯最复杂,也不过是顺序连接,所以本质上来看。

所有的习惯啊其实是最简单的流程。 啊因为天下所有的流程呢都有三个模块构成啊,他们分别是顺序循环和分支对,而我们呢看到的所谓的习惯啊,它其实是顺序连接。 于是呢他只是三个模块当中的一个而已。 也就是说它是所有流程当中最为简单的流程,顺序而已嘛。 。

这习惯的力量啊是异常强大的。 成年人有过丰富的经历之后,往往会慨叹说这个比起成年之后的学习啊,人生中更重要的其实是那些从小养成的好习惯。 因为哪怕是最基础的,比如说长期持续锻炼和学习,那都是习惯嘛,并且呢也都是越早养成越好的习惯呢,不是吗? 。

不知道你有没有注意过哈呃,著名球星姚明啊,篮球球星姚明在罚球的时候呢,他有个从来都不变的固定顺序啊,他从来不变这个固定顺序。

545e8fef-90c5-4248-b7dd-6d595e669934.gif

他第一步呢要先运球5次,然后第二步呢他会略略下蹲,把球举到与头部的高度相同的高度哈,然后停顿一下。 第三步呢是投球姚明说哈这个固定的顺序对他罚球的命中率呢非常重要啊,事实上姚明在486场NBA比赛当中啊,罚球命中率高达83. 3%啊,其中最高的一个赛季呢达到过惊人的86. 6%啊,对比一下哈同位置的这个奥尼尔,你就知道这有多厉害了。 奥尼尔的罚球命中率啊其实只有52. 7%我再给大家这个链接啊,这里有姚明他自己的讲解啊,回头你可以自己去看一看。

这就是习惯或者说顺序的重要性。 那再比如说哈上学的时候啊,我们要做作业,我们要做练习题,先做简单的呢,还是先做困难的呢? 哎,这就是流程管理,而一切的流程重复多了就成了所谓的习惯。 那做作业做练习最好的习惯是什么呢? 啊,是先做困难的,卡住来的时候呢,做几个简单的,然后再回来继续做困难的啊,无论如何啊要尽快尽早做完。

2694ad48-cc18-46e6-a11a-9ca24980af59.png

Read more ⟶

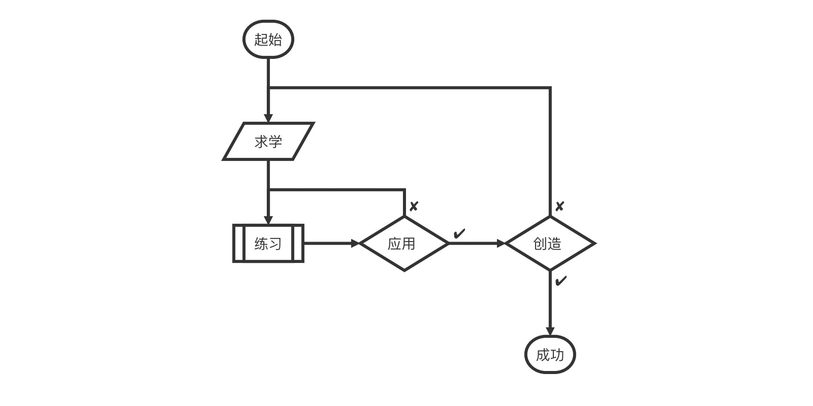
49-18.学习的真相.最少必要


那么回头去看学习呢一共四个模块啊,学练用造求学练习、应用创造。 请问最先往哪个模块上强加主动最划算呢? 我告诉你啊,事实是这样的,从后往前的顺序可能。

f1276eda-07f0-4975-9036-b9ae4b4b7130.jpg

非常遗憾的是,这个学校里的教育呢普遍失败。 但是呢嗯他普遍失败的原因呢,也可以啊按照以下几个方面哈完整的描述。

ef8858df-4470-4cd4-a4d9-b58f061a61d3.png

你仔细看看就知道了,几乎每一方面哈,你都作为家长必然认同的。 你看在学校里,首先呢学生因为感觉不到刚需而失去了兴趣。 你想想看当年的你是不是这个样子,然后呢,学校里的灌输式教育啊,逐步消灭了学生的主动,什么都不是主动学的,都是硬塞给你的对吧? 然后呢,在关键点上从来都做不到,短时间内足量重复。 短时间内足量重复是什么呀? 这是我们清楚定义的努力嘛,于是呢在关键点上从来都没有努力过,然后呢,学校里的考试竟然成为了学和练的唯一用处,你学什么,你练什么,到最后他唯一用处啊,就是考试你就是这样把英语学费的,你还记得吧? 然后呢这个考试及格的设置又变成了够用即渴的帮凶啊。

以上00总总吧,最终呢在任何一个真正的知识技能领域,绝大多数原本是天生超级学习机器的学生,就这样被学校通通变成了残次品。 他们用99%以上的时间和努力换来的。 事实上是注定连应用模块都无法延伸到的东西,我们之前说延伸到应用模块才及格呀,对吧? 必须延延伸到延伸到创造模块,才有真正的意义是吧? 结果呢这些学生99%以上的时间努和努力换来的,都是注定连应用模块都无法延伸到东西,多可惜呀,与此同时呢,更为可惜甚至可怕的是,他们中的绝大多数最终学习能力被消灭殆尽。 。

这哪是在说他们啊,这干脆是说现在正在听课的父母当中的绝大多数关于主动学习啊,如果不经提醒的话呢,唉大多数人会自然然的认为说这个。

因为人类的大脑从遗传继承过来的种种机制,主要是为了生存而设计的survivve为了生存而设计的,所以他天然呢更关注当下,换言之,人脑天生具备的就是短视倾向。 长期观念呢只能是后天习得并养成的。 所以呢短视啊总是隐藏在任何一个学习障碍的最底层。 。

你观察一下就知道了,这个小孩子呢对什么都好奇的,对什么都不厌烦的,对什么都很专注的。 乃至于学习能力这个东西啊,对绝大多数人来说,真的是所谓的出道即巅峰一出道就是巅峰。 这个词的意思是说,他们学习能力终生在不断下降,直至为0,甚至是负数。 你想想看是不是真的很可惜。 为什么呢? 这本质上了啊,是因为随着年龄的增加,对大脑来说啊,基本生存啊,在感觉上已经不再是问题了。 越来越不是问题。 啊,这就意味说最大的及时动力逐步消失了,好奇心不再感觉必要,专注被磨灭,凡事都很容易感到厌倦。 这主动求学的倾向,从大脑通过遗传获得的机制来看,如果不加干涉肯定会。

从大脑通过遗传获得的机制来看呢,如果不加干涉的话哈,那肯定会逐步递减,直至为0啊。 所以呢主动啊其实是必须通过干涉和挣扎才能重新获得不管这些干涉和挣扎来自于外部,它还是来自于内部,抑或同时来自于外部和内部干涉与挣扎的手段倒是非常简单哈,用主动加持求学之后的每一个模块,啊你要主动求学,但同时还要主动练习,主动应用,主动创造 。 还记得吧? 一切重要的知识和技能。 事实上,都是只能通过强制与逼迫才能发生的。 所以主动求学,其实无非是自己逼自己去学而已。 。

那么回头去看学习呢一共四个模块啊,学练用造求学练习、应用创造。 请问最先往哪个模块上强加主动最划算呢? 我告诉你啊,事实是这样的,从后往前的顺序可能是最。

其实呢在哪都一样的,顺序很重要,不同的顺序会带来不同的结果,这就好像是下棋一样。 那双方起步在同一个棋盘上都是相同数量的棋子,相同的布局,用相同的规则开战,这马都走日向都走田,卒子都是只能往前,并且每步都只能走一个,到最后呢,双方竟然有输赢,请问决定输赢的究竟是什么? 如果你能抽象到最根本的话,那就是顺序决定输赢嘛,对吧? 而所谓的有策略本身上其实很简单的啊,只不过是说知轻重论先后,这就叫有策略嘛? 我再重复一遍啊,知轻重论先后啊,这就是有策略啊,所以顺序很重要。

任何领域的学习其实都是一样的,要尽快走到造的模块对创造的模块,就算偶尔退一步,也至少要尽快走到用的模块,就是应用的模块。 进而呢所谓的学和练都是为了用和造服务的。 至于过程中可能参加的考试嘛,顶多是练的环节。 它不是用。

Read more ⟶

48-17.学习的真相.教学见长


“教学见长”(jiāo xué jiàn zhǎng)

关于教学见长啊,这个词呢,我的理解是这样子的,就是教和学其实从一开始就不应该是完全分开,甚至对立的动作,啊,边教边学或者是边学边教,对吧? 嗯,他们应该是连在一起的动作。

音频转文本失败: ‘str’ object has no attribute ‘shape’

3dbda243-4d64-4a4d-97fc-977c0ad23c3d.png

我为什么会笃定呢? 首先呢我知道学习的真相,我有改进过的学习模型,我知道我将要遇到的种种细节和挑战的应对方式。 我也知道知识的模型,我知道主体机制用法,这三方面的每一个细节结构,也知道他们孰轻孰重,我知道我应该干什么,在哪里用蛮力啊,在哪里用巧劲,。

哎,我就问你啊,这难道不是对每个人来说都一样,只要认真准备谁都能做好的事情吗? 我才是这样的,并且呢后来许多年的经验告诉我,其实是至少20年的经验了。 现在许多年经验告诉我,他就是这样,再说了,你仔细想想,你说干啥事,他不需要认真准备呢,。

音频转文本失败: cannot reshape tensor of 0 elements into shape [-1, 0] because the unspecified dimension size -1 can be any value and is ambiguous

bc2a29d3-857a-4853-8c68-e261acfbcf0b.png

音频转文本失败: cannot reshape tensor of 0 elements into shape [-1, 0] because the unspecified dimension size -1 can be any value and is ambiguous

Read more ⟶

47-16.学习的真相.陈规陋习


针对同一个事物呢,他不管是抽象的还是具象的,我们的大脑里呢常常有不止一个模型与之相对。 事实上呢,我们往往需要多个模型去适用不同的情况。 比如说啊仅仅关于学习啊学习这个概念。 我们在这一路上呢,就建立了很多个模型的不止一个的。

人们对全球变暖危险的认知其实也是如此的。 从全球变暖的警告提出到现在已经几十年过去了,到现在明明已经足以致命了。 但是统计调查结果依然令人绝望,为什么呢? 即便是在2022年绝大多数人真的觉得啊全球变暖跟自己没什么关系。 对,再比如说哈我们其实已经花了十几十几节课尝试证明的学习很简单。 我告诉你啊,注定他不会被全面接受的。 或者哈我们反复提及的女生不擅长抽象思考,这纯属扯淡。 我告诉你,同样也不见得有多少人能够接受。 并且呢反驳这个正确模型的人,我告诉你,事实上还可能是女性居多呢。 对啊,我的意思是说,有更多的女性相信女性。

还有啦没完,所有的学习都是建立和组织知识网络。 对啊,然后呢我们也讲过啊,最划算的超额学习是学习更多的自然语言。 还有所有的学习都是求学练习应用创造构成的。 那想必未来呢我们可能还会建立更多哈关于学习的模型。 。

ab8d1642-e7bb-42cb-a0c5-45d2eb1eeba6.png

那每个模型的采用呢都会马上改变我们的实时预测。 进而呢他会不断改变我们的判断,改变我们的行为模式。 。 进而呢最终能够改变我们的大脑结构啊,包括绘制密度和白质完整度等等等等。 一对多的模型关联几乎无所不在的。 因为这种一对多的关系,实际上只是整个世界的本质。 在科学领域最经典的例子就是牛顿的经典物理学和爱因斯坦的相对论。 他们其实就是针对同一个世界不同情况下的各自适用的不同的模型。 。

那与此同时呢,我们的大脑皮层之上呢,充斥着大量的没必要的模型啊或者错误的模型以及不仅错误甚至致命的模型。 那总体上来看呢,就是人类啊一直在不断修正改良新建啊,所谓的模型在这个过程当中呢也删出了很多模型啊科学史上哈一个有趣的例子就是化学真正发展起来之后,人们对起火啊,火火的发生的模型做了修订啊,删出了一个叫做燃素的模型啊,燃烧的燃元素的素燃素啊,flog 。

“燃素”(Phlogiston)https://en.wikipedia.org/wiki/Phlogiston_theory

这个比较要命的是什么呢? 就是极端情况下,我们有一些天然的模型,天然容易出错,并且呢几乎无法改正。 我再重复一遍啊,就极端情况下,我们的大脑有一些天然的模型天然容易出错,并且呢几乎无法改正。

c7213bbe-a377-4d86-a7f6-82d42fd803f0.png

爱德华·阿德尔森(Edward Adelson)

上面这张图片啊,你可以放大仔细看一看啊,这是爱德华阿德尔森啊这个创作的一张图片。 当你看到出于原柱左面两个方块分别标记着A和B的时候,我告诉你啊,你当然会觉得A所在的方块更灰暗一些。 而B所在的方块更明亮一些,可问题是真的吗? 事实上啊这两个方块的明暗度是一模一样的,参照哈右面啊隔离出来的这个事例,。

这个原理究竟是什么? 大家可以自己去查啊,你通过搜索啊啊的这个名字啊,就可以找到这张图片。 然后呢肯定有相关的解释,这不在关键。 它的原理不是我们要关键这个这个呃展开解说的,我只是告诉你说,你看我们有些天然的模型是容易出错的,并且呢几乎无法修正,对,当然我们的一些天生缺陷,事实上并不影响我们的生存,否则进化的过程当中,我们早就会因为这些缺陷而灭绝了,对吧 ? 你还记得那个够用即可的原则吗? 其实进化也是同样照着这个方式进行的,所以我们的脑子当中有一些哈天然容易出错的天然模型,对? 但是呢够用即可,所以呢就那么回事。

但是呢在科学事实的构建过程当确实不一样的对? 因为科学知识的习得是后天的。 然后呢,我们在这个过程当中呢啊之前可能建立了很多事实上很重要,但是呢却没必要,然后呢甚至是错误的,甚至是致命的模型,对吧? 这些没必要的错误的,甚至是致命的模型呢,他又异常的执拗,那不仅长期存在,甚至感觉上压根就无法消灭。 比如说哈啊咱就不说这个神创论了,我告诉你啊,连地平说都是一样的,地是平的。 不是圆的。 啊,到今天哈地平说依然在举步留行,并且呢相信地平说的人不接受任何反驳。

Read more ⟶