Files
xuesheng/content/posts/591-2024.09.30.结构化思维(另一个思考框架).md
2025-07-10 15:45:00 +08:00

64 KiB
Raw Permalink Blame History

+++ date = '2024-09-30T15:41:41.378Z' draft = false title = '591-2024.09.30.结构化思维(另一个思考框架)' +++

1013d186-d20e-45cc-babc-bf24b230db79.mp3

转眼呢我们已经到第五课了。 那么在最初的时候呢,我提出了一个概念叫做工具方法论。 然后呢留了作业。 然后呢大家呢啊多多少少也做了作业啊那这个作业做过之后呢我们使用chGPT的方式啊就与很多人啊略有不同。 当然说实话是很不同了。 只不过在别人眼里看不出什么太大的不同而已。 啊举个例子比如说我们已经通过比较做出了决策优先使用chaGPT的网页版。 哎,这就是经过详细比较,认真摸索之后才做出的选择。 但是最终的结果从外界看来,当然好像是没有什么的。 对,有什么巨大差别吗。 不是的,但是你也知道了,这背后的思考与实践真的有很多的不同。

49728a28-4388-477d-84b3-d3faf802cf12.mp3

我给大家说说我自己现在的用法哈平日里呢我用的更多的是Crome浏览器啊就google的浏览器啊我在macOS上呢其实不太用那个系统里默认的。 然后呢这个这个呃当我反应过来哈应该用G的 web端的时候呢嗯那我就想是不是应该找一个单独的浏览器专门用来访问chaGPT点com啊显然这么做是划算的嘛。 所以呢我稍微比较了一下,稍微琢磨了一下。 最后呢我决定使用这个微软的micsoft啊微软那个浏览器啊作为 gP的专用客户端。 。

  • 注册了个新的 ChatGPT 专用邮箱,创建了一个单独的 Profile
  • 只安装了几个插件(所以它打开很快):
    • ChatGPT Enter Key Modifier这个还是我自己改的
    • GPT Search: Chat History
    • Prompt Library Manager
    • Custom New Tab
  • 一些专门的设置
    • 默认搜索引擎改为 Google
    • 擅用 Edge 的分屏功能 —— 可以在左半边点击链接,在右半边打开链接(可以设置)
    • 新 Tab 要改成 “依然打开的是 chatgpt.com”插件实现
    • 为 Prompt Library Manager 设置快捷键Shift + Command + P
  • 收藏夹,专门用来收藏自己的重要聊天记录
  • 创建几个 Tab Group把自己创建的 GPT 分类,需要时可以打开一批 GPT 标签

d650b56a-15cc-48a4-8707-9b740c0277f9.mp3

然后紧接着呢,我又做了哈以下几个定制的工作。 第一个呢是专门注册了一个新的邮箱啊然后呢这个邮箱呢就是专门使用chaGPT的。 然后呢以此邮箱呢在艾上呢创建了个单独的profile 那么这样的话呢呃它是个干净的浏览器,然后呢,新建的浏览器。 。

a7ea5a07-ba62-4f76-acae-42c4070cdbb6.mp3

然后在这个呃干净的浏览器新建的profile里面呢我其实只装了几个插件啊到目前为止只装了4个啊第一个呢是修改那个ent key的这个行为的一个插件还是我自己改的。 因为我在网上找到的呢呃看起来应该是在windows上起作用。 但是在麦acOS上不起作用。 于是呢我把代码下载了之后呢,这个修改了一下,然后呢,第二个是什么呢? 就是GGPT search啊它是可以。

58df75a2-be5c-4eb2-9c7d-c451f836afb0.mp3

微软的设计有个小问题就是你每次打开一个新的t的时候呢哈它写死了直接访问的是冰点com啊并且呢那个页面里哈还有乱七八糟一大堆东西。 所以呢你装了一个这样的插件叫cus new。 那这个时候呢啊你就可以把这个新打开的tap也设置成chaapGPT点com就反正你在这里只要新建的t都是chaGPT。 。

c5d2f39c-a94a-43a4-a501-df23e301d241.mp3

我给大家说说我自己现在的用法哈平日里呢我用的更多的是Cme浏览器啊就google的浏览器呃我在macOS上呢其实不太用那个系统里默认的fa。 然后呢这个这个呃当我反应过来哈应该用chGP的 web端的时候呢嗯那我就想是不是应该找一个单独的浏览器专门用来访问chaGPT点com啊显然这么做是划算的嘛。 所以呢我稍微比较了一下,稍微琢磨了一下。 最后呢我决定使用这个微软的micsoft啊微软那个浏览器啊作为cha gP的专用客户端。 。

e4569a64-cad3-455b-89b8-c1bf17131981.mp3

然后呢还要为那个啊pro library manager啊设定一个快捷键啊比如说我自己就把它设定成了这个shift加上com加上P对然后呢这个因为它是个浏览器嘛那现在它是 co专用浏览器嘛。 所以呢我又新建了一个profi所以我那个收藏夹里什么都没有于是呢这个收藏夹就专门用来收藏自己和chaGPT曾经有过的重要聊天记录啊然后呢这个呃还有一个叫tap group这个功能就是那个标签群对那么这个 group可以用来干什么呢 就是我不是创建了很多机器人嘛很多GPT嘛啊我都可以把这些这个GPT分类之后呢放到一个t group里面啊这样的话呢我可以一下子打开好几个机器人啊作为标签显示在浏览器。

cf13f5e7-0595-4c2c-9b9e-c05805da3a5b.mp3

这样的话呢,我在几个机器人之间切换哈,就会变得非常的容易。 啊OK.

d49b2d4b-532d-4907-978d-46254cb87874.mp3

好了这个呢就是哈我经过比较之后啊做了决策决定使用chaGP的网页端啊更划算。 哪怕是在手机上,我都可能要创建一个呃浏览器的快捷方式放在桌面上,而不是直接用这个啊手机上的客户端,对吧? 然后呢,在桌面上啊,就是我的电脑上,我做了这些定制啊,然后呢,这个使用它的这个体验也好,效率也好啊,就得你自己能感觉到的,提高了很多很多倍,对吧?

c7aaee1a-543c-4023-b5c5-fe999fde1551.mp3

我给大家说说我自己现在的用法哈平日里呢我用的更多的是Cme浏览器啊就google的浏览器呃我在macOS上呢其实不太用那个系统里默认的fa。 然后呢这个这个呃当我反应过来哈应该用chGP的 web端的时候呢嗯那我就想是不是应该找一个单独的浏览器专门用来访问chaGPT点com啊显然这么做是划算的嘛。 所以呢我稍微比较了一下,稍微琢磨了一下。 最后呢我决定使用这个微软的micsoft啊微软那个浏览器啊作为cha gP的专用客户端。 。

54186d2e-8122-4020-b7d6-8717a5137d10.jpg

a28d72fb-a2e9-4475-a1c8-f8256d86da64.mp3

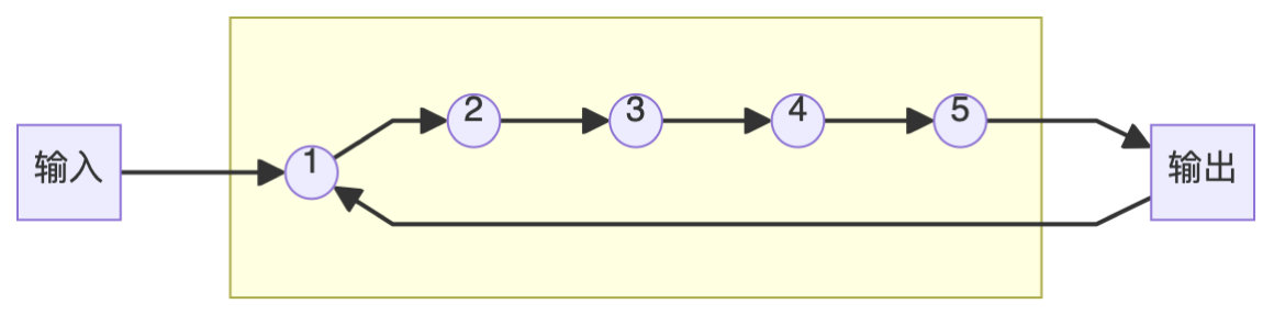
然后呢在外部端呢哈GPT就相当于给你在这个页面上创建了三个子页面。 比如说我问问了三次那么那个问题下面呢会有一个呃分母是三啊分子是版本啊第一个版本第二个版本就是3分之1是第一个版本3分之2是第二个版本3分之3是第三个版本左右各有两个箭头对吧 你可以在这之间这个切换,然后呢,它是三个子聊天,每个子聊天你都可以继续聊下去,对? 然后呢呃你分享其中的某一个聊天的时候啊sha出去之后呢别人呢是看不到其他的版本的只能看到你sha出去的那个版本。

使用 ChatGPT 的重要技巧:

同一个问题,反复多问几遍……

45324635-11a2-49ad-a17e-ff5175214c22.mp3

其实呢这是一个特别特别重要的使用chGPT以及任何其他人工智能的呃一个重要技巧是什么呢 就是同一个问题,一字不差的反复问很多遍啊,这对你有很大的帮助。 因为他每次的回答都不太一样。 然后呢嗯会给你很多哈不一样的结果给你不一样的思考然后呢给你补充一些东西然后让你刺激你一些不同的想法啊挺有意思的啊记住啊这是一个这真的是一个特别重要的使用chGPT的技巧就是同一个问题只字不差的反复阅这个啊去问很多遍 。

a6f2efed-7662-4f07-80dd-a42394b761b6.mp3

讲到这里呢,我们就不得不慨叹一下。

7723fd5d-2452-46cc-ba5d-78b93ebdc0d7.mp3

我态度哈永远是这样的哈,要么你干活,要么你不干活,对吧? 要么你学习,要么你不学习,要么你生产,要么你不生产,对吧? 然后呢这个干活也好学习也好生产也好啊能在电脑上就一定要在电脑上因为电脑是效率工具对能不在手机上就一定不要在手机上因为手机是分身神器啊这一点是要反复提醒的啊当然了在外面的世界里并不是这样你看我不就做了个enjoy吗 啊,天天有人跑过来问有没有手机吧,我都懒得搭理他们好像你用手机真的学习似的。 😊

9b9aa3f8-51e5-46fe-9c28-e9c6eee8506f.mp3

以上讲解的内容呢,其实还是工具方法论当中的常见步骤,就是在研究过基本用法之后呢,习惯性的去尝试优化工具,以及优化工具的使用方法和流程。 所以到最后呢,同样的工具不同的人使用效果是不同的。 今天你已经对这个结论,没有什么歧义,并不觉得难以理解吧。 对。

73f0a8e1-0a77-4e5e-bc22-a1ee11eb678a.mp3

另外一个呢再次提醒啊提醒这些父母。 如果你是父母上过我的这个课之后呢,你应该格外重视这个言传身教的重点。 什么重点呢? 就是你要抓抓住一切的机会,时不时向自家的孩子展示自己对某个工具的最新进展,对? 让他们哈有机会通过耳闻目染,就自然而然地学会如何善用工具,如何善待工具啊,尤其是那些智能工具,我告诉你啊,这些智能工具。 这可是人类最近才有的东西啊,人家人类发展了几十万年,对吧? 最近的几年才开始有对? google最近的二十几年啊 checkGPT最近的几年。

7fc2845c-5ba4-4455-b08a-443cff663303.mp3

这是很短很短的时间啊,我们的基因我们的大脑完全不适应的这个时间短到什么程度呢? 如果哈我们把整个人类发展历史啊比作一个足球场,对吧? 人类发展的时候出现的时候,在左边这个门,对吧? 然后呢啊这个时间呢就好像踢出来的一个球,对吧? 然后呢,踢向另外滚向另外一个门,对吧? 那么现在哈就是呃只有几年甚至二十来年,对吧? 那么就意味着说那个球啊,到了右边这个门,对吧? 离那个线啊就差一根头佛丝都不到的地步,就是那个那个那个我们说几年几十年啊,相当于整个人类历史的一根头佛丝都不到的地步,对吧? 分母呢是一个足球场的呃宽度长度。

8534e109-1b7a-4790-b184-57fff75f4a35.mp3

所以呢认真对待这些工具啊,然后呢认真思考如何优化这些工具啊,真的是非常非常重要的生活习惯。

如何与人工智能ChatGPT“好好说话”

  • 用电脑对话
  • 用英语对话
  • 用程序员思维对话

fc8527ad-5d80-47cf-8f89-faf141015c8c.mp3

好了,其实呢这也是我们今天哈要讲的重点内容之一啦。 对啊,就是我们今天这节课呢其实归结起来就有一句话,就是我们去研究一下如何与人工智能好好说话,对,如何与人工智能好好说话对? 于是呢第一个我们经过比较已经知道了,对吧? 你用电脑跟他说话和你用手机跟他说话,你用这个呃桌面端跟他说话都不一样的。 所以到最后我们用电脑,然后呢用 webb端跟chGPT好好说话啊效果就有点不同其实是非常不同。 但是别人看不出来有多么不同啊,第二个是什么呢? 我们其实已经提到过的一件事情哈,叫啊用英语跟人工智能对话,为什么呢? 我告诉你其实即便是全球各个国家定制出来的ch这个这个人工智能啊自己培训的人工智能到最后母语还是英语的对吧 不可能哈日本人培养出来。

73a1af49-a768-48ff-8dc7-dc42378058d9.mp3

日本人培养出来的AI模型训练出来的AI模型母语就是日语。 韩国人这个训练出来的AI模型母语就是韩语中国人训练出来的AI模型母语就是中文没这回事的啊。 因为到最后啊科学的语言最普及最。

755489fe-d832-49c0-b8b8-1309fa1aae13.mp3

然后呢嗯前面也提到过哈,就是在座各位呢,绝大多数人跟我一样啊,母语呢不是英语,对吧? 然后呢,这个这个呃英语不是很熟练。 不过呢没有没有关系啊,我们已经有了这个两个解决方案,一个是短期的马上就能用的翻译机器人,对吧? 另外一个是长期的对吧? 比如说enjoy就是长期的解决方案这个我们以后再说对吧 呃,在这里呢是要对中国的父母们专门提醒一句,对吧? 如果你是父母的话呢,你脑子资力要建立这个观念,对吧? 呃,英语的这个熟练程度,在未来啊重要性只能是被抬高到了无法再抬高的地步,而不是会下降的对吧? 不要被外面的说法啊,外面的这个这个误解所误导。

3ada7af9-9edd-4de5-838a-4b963e78ecd3.mp3

反正呢就是英语只能越来越重要,没有任何其他可能性,此为其义。 当然另外一个更为重要哈,就是家长更应该知道的是呃在小学阶段,再加上前面的学龄前阶段。 我告诉你啊英语几乎是唯一一个只要肯练就能把99. 99%的人甩在身后的科目,啊,这是唯一一个你其他的东西你没有办法把所有人都甩在身后的的英语能对吧? 并且呢不仅是甩在身后,一旦这个相对优势形成了,那就是永远甩在身后啊,我告诉你,我刚刚讲的这句话呢,值得听这个课的所有的家长们反复理解,反复阅读,牢牢记住,对吧? 这句话的指导意义太大了,并且呢我告诉你,关键在于说经济意义无穷。 当然了以后面的章节当中哈,我还会深入讲解这个问题的。

家长更应该知道的是:

在小学阶段,学龄前阶段,英语几乎是唯一一个只要肯练就能把 99.99% 的人甩在身后的科目,并且还是 “永远甩在身后”。

959e756b-0227-4cd1-a541-d6f6887b1d5d.mp3

现在呢我们就要进入哈我们课程当中重点的重点了。 我们这个课程啊今天的课程重点不就是如何与AI好好说话嘛对吧 那前两个方式过去了三个方式当中最重要的啊就是用程序员思维与AI对话。 对,那么注意啊,在这节课里哈,嗯我们不是要教大家如何编程,而是从另外一个方向,即让所有人啊注意啊,是所有人都能正常的像专业程序员一样思考啊,这事儿呢其实远比你想象的简单,并且呢很好理解。 并且呢你尝试过就会知道你们家小朋友照样可以理解。 。

2ef549a4-9b1f-4e98-b4ee-ceb235edbb11.mp3

其实呢我们才第五节课,但是在前面呢,大家可能已经体验到了哈,如果一个人可以启用不同的思维模式或者成为思维框架,或者成为思考流程。 那么只要你启动了不同的思维模式,对啊,那么就相当于说好像换了一个人一样。 对,有更先进的思维模式,就相当于是进化到了下一个阶段啊,多进化一次和少进化一次,大约相当是相当于是这个一个智人之间的差异吧,就是猴子和人类之间有个智人,对吧? 差不多是一个智人的差异,对吧?

6b9cb9ba-d9d7-407c-8860-da8c1e8dfb1c.mp3

嗯,举个例子啊,大家还记得吗? 就是我给大家创建了一个叫GPT builder啊这个GPT呢就是个性化chGPT的机器人对吧 那创建机器人的机器人,对吧? GPT buildder啊然后呢这个GPT builder理论上来讲他真的做到了目前全球的最高水准啊那我是怎么做到的呢 啊,不是我有多厉害,我是应用了递归的方法。 然后呢让chGPT帮我设计了一个GPT builder要求他用最好的最佳实践去设计这个东西。

3871c635-4803-42ee-9798-1e84ba0c669d.mp3

所以呢到最后哈嗯别人打不败我了对不是因为我有多聪明是因为我用了chGPT最好的方法我只不过是启用了递归思维于是呢chGPT用它最厉害的方式啊设计出来了一个呃GPT build的 definition 所以导致的结果就是别人拼不过了因为别人再怎么弄他拼不过chGPT嘛对吧 反正我也拼不过GPT嘛对吧 当然了啊,这个造成的结果哈,从另外一个角度看,就是我写了这么个东西,然后别人写的不可能比我写的更好了,对? 其实不是我厉害,我知道的对吧? 只是我启用了一个很厉害的思维模式,导致的结果是我还是我但我做出来的东西真的很厉害,乃至于没有别人压根就没有办法拼啊,做到了厉害的极致,。

https://chatgpt.com/g/g-0ABN9Obfv-gpt-builder

e07d16e6-59d8-4e80-bd45-3c4ef5213967.mp3

就是这种哈思维模式的启用啊,是很神奇的。 我告诉你这种方法,李下来不是第一次用,也不可能是唯一一次用在生活里的各个领域啊,我们都会用这种思考方式的啊,比如说投资对啊,就是你看啊定投就是我们选择的一种思维模式,然后呢得出来的一个结论啊,用这种思维模式,然后呢去比较市面上所有的投资方式,到最后呢做出了一个选择,然后呢,我们开始定投 。 那这个种思维模式是什么? 我在定投改变命运里反复说了很多回。 咱所以我就在这里不重复了。 总而言之,我们启用了一种思维模式,然后选择了一种最厉害的嗯投资方式,投资策略。

b456f7d1-8ba2-4c7e-a295-6929fe5dda09.mp3

到最后别人就拼不过我们了,对吧? 那真的是我们厉害吗? 你自己不知道吗? 采用定投策略之前的你和采用定定投策策略之后的你其实本质上没什么区别的,你也没有变得更帅,你也没有变得更漂亮,你也没有变得这个啊更聪明啊,可能有进步,那是因为学习的结果,而不是因为仅仅采用了这个定投策略这样能理解了吧,对吧 对你没有什么变化的对,但是呢你的结果厉害了,那是你厉害吗? 不是的,是那个方式,那个思维模式很厉害,那别人打不败你了,那是因为你吗? 不是是因为他们打不败那个思维模式。

49c1e8da-c4fe-42a4-897a-9f8ea16c957b.mp3

好了我们把话说回来哈就是你启用程序员思维与AI对话。 那么瞬间你就可能像变了一个人。 那什么是程序员思维呢? 对吧? 那我们就接下来花一点时间,依次用绝对的大白话给你说明一下什么是程序,什么是程序员,什么是程序员思维啊,就是绝对用大白话,然后呢,你也仔细听,因为这些大白话的陈述啊,其实很精巧的,乃至于说如果你是家长的话,你也可以用这样的大白话,让你家的孩子很小就学会这种思考模式 。 哪怕他是学龄钱,哪怕他不一定识字,都能做到。

dd2d45fb-e1bd-48fb-a7fc-dc678a6362ac.mp3

那我们先说程序啊,我先给你些这个这个这个同义词啊,在生活当中啊与专业程专业术语程序啊,相类似的近义词都有哪些呢? 比如说流程,比如说步骤,比如说顺序啊,这些呢都是和专业术语程序啊,重合度非常高的同义词,甚至有的时候干脆就是一回事。

与 “程序” 对应的日常生活近义词:流程,步骤,顺序……

728047fd-8e85-4e84-be57-1e1a77447047.mp3

其实呢你仔细想想看,在日常生活当中,我们做任何事情都是有步骤的,都是有程序的,都是有流程的,都是有顺序的那在这一大堆词当中呢,我们选择步骤这个词步骤这个东西啊之所以存在,其实本质上来看是基于时间的特有属性啊,因为时间的特有属性,所以步骤天然存在,时间有哪些特有属性呢 时间有三个哈,基本的特有属性。 第一呢它有方向。 第二呢,这个方向它不肯逆。 第三个呢,时间作为一种资源是有排他性的。

时间的特有属性:

  • 有方向
  • 不可逆
  • 排他性

8a2cf107-fe62-4a05-8e9f-6e7030fa1b3f.mp3

也就是说,除了有方向不可逆之外呢,时间最重要的属性来自于说它是有排他性的。 于是呢你用时间用它来做这个就不能做那个,于是呢所谓的步骤就自然而然的产生了。 对啊? 在同一个时间段啊,只能做一个任务,对啊,不能做另外一个任务,对不对? 时间是排他性资源嘛,那你在生活当中是这样的。 如果你只有一个任务倒也罢了,你就直接做就是了嘛。 但是如果你有两个任务呢,那就只能有先有后,那先做哪个后做哪个呢,于是呢就有了所谓的步骤。 而这个步骤事实上就是一种流程啊,换个词,它就是一种顺序啊,一种流程,一个程序。

cd31516a-3de9-4702-9c6a-cc623e0fc020.mp3

你看看生活里的情况吧,就是哪怕你出门之前穿个鞋,它也是有步骤的,或成为流程或成为程序或成为顺序的啊? 虽然每个人在细节上可能并不相同,对? 你看两只鞋要一起拿出来,先穿一只,再穿另一只,对吧? 如果有鞋带的话,就分别系上啊? 那穿鞋是这样,那做菜也是一样的。 理论上每一个菜谱其实都是一个程序,因为它所描述的就是流程、步骤或者顺序,对吧? 我告诉你,这个菜谱的典型描述形式,就是一个列表,对吧? 那个列表其中的每一个项目啊就代表一个步骤啊,一步一步跟着做完,那食材呢就变成了饭菜对吧? 所以菜谱就是程序,。

这个视频还挺长4 分钟…… 看看吧

炒菜师傅.mp4

https://weibo.com/5867737487/Oz3gipoD6

视频竟然 184M太大了…… 哈,大家到 微博上 看吧,这是我昨天看到的一个视频

40da9108-9da3-4ad9-b99e-608f842eff07.mp3

在这个视频里哈,你看到的是一个工地上的一个小摊上啊,一个师傅在不停的做菜,以很快的方式啊,做菜。 那么你仔细观察一下哈,这个师傅在干什么呀? 他就是在反复执行同一个流程,或者是反复执行相似的流程。 对? 他其实啊我们日常生活当中把他干的活叫做菜啊,我们换一个说法是什么呢? 他就是在执行一个又一个的程序,或者是在反复执行相同或者类似的程序啊,他当前所表现出来的状态,就是一个程序执行者啊,程序执行者。

45781afe-6d86-41e0-9171-ba6470d8f8e1.mp3

好了,这样你就能够明白了哈。 其实呢我们每天都在执行各式各样的程序,对吧? 无论是穿鞋程序,还是做菜程序,还是泡咖啡程序啊,还是这个上班程序,对吧? 我们每天哈会执行各式各样的程序。 所以呢无论如何,其实我们每个人几乎时时刻刻都是程序执行员,对吧? 那么当我们说一个人是程序员的时候,指的不是程序执行员,而是程序设计员,对吧? 当然了,这些程序设计员还可能有其他的角色哈,日常角色叫程序优化员对吧? OK那么程序员的核心工作就是设计程序优化程序那换个词就是设计流程优化流程啊设计步骤优化步骤设计顺序优化顺序差不多就这么个事儿。 。

程序、程序执行员、程序员 = 程序设计员 + 程序优化员

416307c6-1e5c-4121-b872-4ea9f8e0edbf.mp3

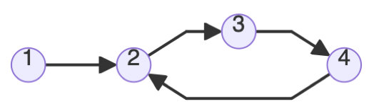
这句话呢很重要不仅很重要它是一个已经被证明过的啊用数理逻辑去证明过的结论啊这是上个世纪哈60年代一篇重要论文里面哈论证的事情。 他向所有的任务,其流程都能够由且只。

完成天下所有的任务,其流程,都能由且只由三个要素构成:

  • 顺序
  • 分支
  • 循环

e5b16565-5d88-4f39-b9bd-2505dd580b72.mp3

这句话呢很重要不仅很重要它是一个已经被证明过的啊用数理逻辑去证明过的结论啊这是上个世纪哈60年代一篇重要论文里面哈论证的事情。 他向所有的任务,其流程都能够由且只由三个要素要素构成,对吧? 好了,那么我们现在说哈这个任务也有一大堆的这个这个同义词啊,什么方法呀,方案呢,其实呢都是同义词的,在这个流程控制面前。

在 “流程控制” 面前,任务、方法、方案,都是同义词。

sequence.svg

9cca7059-e4eb-4479-9c3f-9c7532b5b66a.jpg

4fd4679a-e01c-48c7-95ad-56b1bafa9edf.mp3

这个呢就是所谓的顺序啊12345按顺序完成就可以了。 比如说哈你在家啊去执行一个泡咖啡程序那就是12345。 对? 第一步是你去啊拿一个杯子。 第二步是啊往里放这个咖啡粉啊。 第三步是往里倒水啊,泡茶泡咖啡都差不多啊,都是这个这个啊顺序啊就可以完成的流程顺序就可以完成的任务,或者是方法或者是程序,对啊,顺序就可以了。

fc9176a3-8f30-40bb-8e88-a2be40528e93.mp3

第二种呢是分支,对吧? 那分支呢就是要有判断,对吧? 根据不同的情况去做不同的事情。

8918de93-db4a-49de-b837-3d4ada6a91b2.jpg

85e97dbe-6fb0-404e-8339-b9468bebf36b.mp3

那么天下所有的任务啊都是有其流程,有其步骤,有其顺序,有其程序的对? 那么这次呢我们选择一个词啊,这些近义词当中我们选择一个词叫做流程,对? 所有的程序都是流程。

5634ef75-5d30-4990-8e52-da0d08583686.jpg

7ce6e0a9-ab01-4493-9b67-1af366097f07.mp3

再比如说你你可能每天都要做俯卧撑,那做俯卧撑其实就是一个循环的流程,对吧? 啊,开始做对吧? 然后呢做第一步,做第二步,做第三步,做第四步,然后呢,从第二步开始继续重复做下去,哎,这就是一种循环,对吧? 当然了,这叫无限循环,对? 因为没有出口嘛,那一直循环下去,对吧? 那么你想做有限的循环怎么办呢? 我再给你画个图。

fc1c1c0c-8ca1-4765-ac7a-29c725e02d9a.jpg

290b92ff-617f-44af-a68f-04ffc57dcf94.mp3

比如说哈你做一组啊俯卧撑要做10个那怎么办呢 第一步躺下啊,第二步开始做对吧? 做的过程当中呢,哎你脑子里开始数数了。 你看你日常生活也也确实是这么干的脑子里的数12345对吧 那会继续做下去,对吧? 如果小于十0的话呢你就再做一个然后计术然后呢再做一个然后技术如果数到十了的话呢啊大于十了就是做了十遍了怎么办呢 啊,结束对啊,你看这就是一个带有计数器的循环,对吧? 和你日常生活当中整天干的事情是一样的。 请问这跟这是什么专业知识吗? 不是的,目前为止还不是的,然后这是一个什么需要大学文凭才能够理解的知识吗? 目前为止不是的,我相信小朋友就算不识字,也能够理解的。 😊

5947dccf-366f-4259-87a2-81901c7a27b2.jpg

76eadf80-c30c-4c95-aedb-7aa7909e4038.mp3

在上节课的时候呢,你就理解了递归啊,这个被程序员们称为比较高级的啊,甚至难以学习的概念。 可实际上你发现了,你根本就不是程序员,你将来也不见得是程序员,但是你依然够能够理解递归这样一个概念,因为递归这个概念在日常生活当中实在是太普遍,太常见了,对吧? 事实上它是我们整个生物界啊,不不仅仅包括我们人类进化的核心。 那你怎么可能不理解它嘛啊,只不过是过去没有人提醒你而已,对吧? 那么现在我给你看的这个示意图,就是递归的示意图,对? 他有个方法,那这个方法呢啊可以把输出啊,当做输入再次重新执行。 那不就是递归了吗? 所以你仔细看啊,其实递归也是一种特殊的循环。 。

cdc03d20-c571-465d-8824-b84b48b6019a.mp3

所以呢到最后哈用三个啊这个这个这个要素啊,第一个是顺序,第二个是分支。 第三个是循环就可以构成一个又一个的方法,一个又一个的方案,一个又一个的过程,啊,或者是一个又一个的处理过程,处理方案,解决过程,解决方案,解决方法啊,当然了,所有这些词的日常生活当中的这个近义词拼起来在程序员的专业术语里叫做函数 。

专业术语“函数”的同义词:方法/方案/过程/处理……

e9a275bd-37c9-4746-8ce9-29b28f57aa0f.jpg

37daba79-2ac6-408a-a132-4edd671da6fb.mp3

所以你看啊就是所有的任务都可以被拆解成很多个子任务,对吧? 每个子任务呢可能都是一个方法,可能都是一个程序,可能都是一个函数,你爱叫啥叫啥,我不管总而言之,它是可以把一些输入通过处理变成输出的对啊,就是这样一个的结构,对吧? 当然了,专业术语呢叫函数啊,以后再说,那我们现在知道现实生活当中,我们这样去做的事情是特别特别多的对吧? 啊,昨天我们举过那个例子,对吧? 就一个螺丝钉,你都可以去执行两个方法,对啊? 第一个呢是用锤子方法把它定进去一点点,然后再用螺丝刀方法把它拧进去,对吧? 那第一个方法的输入是啥呢? 就是一个螺丝钉,对啊,和一个桌面对啊,所以锤子方法执行之后呢。

37ce4552-c356-4dd8-a063-a3925aec891a.mp3

所以呢呃锤子这个方法执行之后呢,它的输出原本是一个螺丝钉,然后呢要定进这个桌面,对吧? 然后呢,这个方法执行结束之后呢,就是这个螺丝钉已经有一部分进入了桌面,对吧? 或者或者换种说法叫已经进入了桌面一点点的螺丝钉,对吧? 然后呢,再用螺丝钉螺丝刀方法,对吧? 把这个还有很多没有进入桌面的螺丝钉拧进整整个拧进桌面,对吧? 。

0543134a-4456-45b9-bfbd-3dac71e3376a.mp3

以上呢就可以啊啊做到什么呢? 无论多么复杂的任务都可以拆集成很多个小任务,然后每一个小任务对吧? 都可以设计成由分支啊,顺序循环所构成的流程,对吧? 然后呢,每个子任务都可以被定为一个这个方法呀、函数啊、方案啊等等等等。 总言之,它有输入,它有输出,然后拼接起来呢,就可以完成所有的任务,对吧? 。

f1fe25ac-2cc1-46b8-bde8-85b2cb4a4cb7.mp3

注意啊,仔细听到这儿以上呢都是简单的,再加上一个就可以完成工程了。 对呀? 那完成工程哈,工程和系统的特点是什么呢? 就是意外频发,对吧? 意外频发。 这这在生活当中都是一样的,不只是程序,全世界都是这样的,哪哪都是如此的,总有意外,对吧? 所以呢在这个这个这个制定流程或者是优化流。 😊

a731bdaf-97cb-4868-939e-c27336c69691.jpg

b7312737-e32d-4e72-95fe-ec026fe7d603.mp3

来,我们看一看哈,我们在日常生活当中所能用到的最常见的异常处理。 对,比如说我开车上班对吧? 那第一步当然是出发嘛啊,在这个过程当中开车嘛,对? 开车一直走嘛,然后走到一个路口发现说交通堵塞啊,或者是走着走着,我看地图发现有交通堵塞,那怎么办? 你看异常出现了,对吧? 所以呢如果交通堵塞了,异常出现了的话呢,那就走备用路线啊,如果在这过程当中一直没有交通堵塞呢,那就一直走正常路线。 然后呢到达这就是一个最简单的异常处理对? 当然你有一个工程里面呢是个很大的问题,被拆解成含很多小问题,然后每个小问题呢啊都可以用流程去展示。 但是这个过程整个拼接过程当中也好,每个小的问题执行过程当中要时时刻刻都有异常处理。 你把所有这些异常处理都处理干净了的话呢,这个流程就跑得非常的好,就这么简单,整个就结束了。

7256f136-01b8-4617-a761-b9a60dfd61c8.mp3

好了,那么讲到这里还是要停下的哈,请所有的父母们注意啊,你仔细去理解以上我跟你讲的内容,最终你就会发现说这个东西啊,它只是一个简单的逻辑,哪怕不识字的小孩,其实也可以听懂的,正如你原本误以为这是专业知识 。 但是基于种种原因,比如说有有一个叫李笑来的人给你讲过,所以即便你不是专业人员。 思维上你也能够理解了,这一点是非常非常重要的。 因为我们这节课的核心是构建你的程序员思维。 。

d95e8d61-d7b2-43a0-a668-e0fb23015dab.mp3

好了,我们再往下讲啊,这个人群是有差异的。 如果呢你仔细观察一下人群,那你就会发现说绝大多数人终生只扮演单一的角色,叫程序执行员,他们终生都在执行各式各样的,别人设计过的,别人优化过的程序,他们自己从未参与程序的设计,程序的优化,从来没有他们一直都是程序执行员,或者我换个词叫什么呢 流程执行员,他从来没有设计过流程,从来没有优化过流程,。

ce15bd73-c24d-4f33-b0b7-1f34bb087648.mp3

这些占比绝大多数的人其实有着一样的特征的,就是他们的习惯就是尽量不思考啊,他执行别人设计过的,别人优化过的程序,对他们来说优势就在于无需思考,所以呢感觉轻松,现在呢我跟你讲了半天,你就明白了这个所谓的思考究竟是什么呢 说穿了实际上真的不难,甚至很简单,只不过是比较之后做出的决断,对吧? 即便是最简单的程序啊,哪怕只有两个任务到底先干什么后干什么,他也是需要判断力的,而这背后的思考框架,对吧? 其实就是我们前面讲过那个小薄册子啊,对吧? 啊,定义分类比较因果,我为什么做这么做呀? 因为我比较过我怎么比较啊? 因为我前面分类分的很清楚,分类分的很完整,对吧? 那我根据什么分类啊? 那我有清晰的定义。

0fc5f14e-7c8c-4720-b96d-3d1f16598a61.mp3

我给你举一个例子,你就明白了。 我家小朋友男孩上厕所的时候呢,都是先洗手后撒尿,这是他们在执行,我给他们设计的流程吗? 是我优化过的流程嘛。 后来呢他们上学了,对吧? 老师就教他们说便后洗手啊,大便小便都一样,小便后要洗手,啊,所以呢他们听到之后,老师所说的老师觉得应该的流程是先撒尿后洗手对吧? 然后我们家老大是个男孩吗? 回来就问我爸爸这是怎么回事,为什么你说的顺序和老师说的顺序不一样。

c407844e-c96d-47d4-8952-912eb32d0da2.mp3

那我就得解释给他们听嘛,这小鸡鸡是自己的呀,他不是别人的呀。 我问他对不对? 他说对呀,我说好,那你看哈你在外面玩,对吧? 你去上厕所的时候,因为你在外面玩了,你的手是不是很脏。 他说是啊,我说那你用你的脏手去碰你自己的小鸡鸡是不是不太好啊,那他想了想说是啊,那我说对呀,所以嘛人要对自己好一点啊,是不是洗手又不是洗给别人看的,对吧? 啊,是为了自己好嘛,对不对? 所以呢你要先洗手,用你干净的手去扶着自己的小鸡鸡去撒尿,这才对嘛,对吧? 撒完尿之后呢,你想想看是不是不洗也无所谓啊,反正你还是要出去玩的手还是会脏的嘛,对吧? 关键在于说哈呃,这个吃东西之前千万不能忘了洗手,对吧? 当然了,你自己想想看,你先洗手,然后去撒尿,然后再洗下手又怎么样呢? 反正也不。 😊

a7cf9ef6-588f-4d2d-bf81-ed086df9af0f.mp3

其实呢这就是区别啊,别人或者是绝大多数人都在执行别人制定的流程,从来也不会去想是否应该去优化那个流程流程,对吧? 但是呢有少数人,比如说我们啊执行的就是我们自己优化过的流程,对吧? 当然了,刚才这么简单的流程,你非说是我设计的那也实在是太装了,对吧? 他不需要设计,对吧? 我以前也用啊这个这个这个先小便再洗手的流程,后来想想这事不对,对吧? 那就优化了一下这个流程,。

666cbf07-354a-443b-a8ee-d3d3f9e1cf4a.jpg

d561a2fb-7e0e-49ec-8a23-ab53d1631b93.mp3

所以你看啊,即便是最简单的流程,仅由顺序这个要素构成的流程,其实呢也有优化空间,或者是也可能有优化空间。 对吧? 那这个优化是谁来完成的呀,是这个这个呃叫程序设计员或者是程序优化员去完成的,在流程之外进行思考,然后呢去优化那个流程是这样吧,对吧? 所以呢整个流程的每一个环节哈都可能有优化的可能,然后你需要思考就是了。 所以说呢哈像程序员一样思考的根基说穿了哈,从根基上来看呢,好像看起来也就两件事,没多复杂。 第一呢是主动思考。 第二呢是长期积累,。

  • 主动思考
  • 长期积累

d49517fd-8ff0-463c-9024-81ed6c963f05.mp3

然后我们再来仔细观察一下,仔细观察之后,你就会发现说绝大多数人终生啊终生只愿执行别人设计或别人优化的程序,宁死都不愿意自己设计或自己优化程序。 除了回避思考之外呢,其实还有另外一个更为隐蔽,但更为重要的原因,他们在干什么呀,他们不仅在回避思考,他们还在回避责任,他们在回避责任,对呀,因为做不好或者做错了的时候,他们可以说责任不在他们,因为他们按步骤做了,因为他们按照别人说的做了,对吧 现在错了,那就责任不在他嘛,在谁上,在程序设计者或程序优化者身上。 对啊,他们的理由很简单,我按程序做的嘛,别人都是这么做的嘛,所以我没错。 。

f665eb81-666a-401c-b530-9a8f61eeb58f.mp3

在日常生活当中呢,绝大多数人看来思考这个东西啊,感觉上可能还是个虚无缥缈的东西。 但是责任这个东西啊不仅是现实存在的,即便是在感觉上都是一个真实的压力。 更何况有的时候仅仅与大家不一样,都会造成天大的压力,你仔细想想看是不是这样。 。

75e2747f-4a89-4faf-81a8-c693b5768ef1.mp3

所以呢我们现在哈再进一步补充一下,你就会发现了对,为什么绝大多数人终生都是程序执行者,而不是设计者或者优化者呢? 从根基上来看,一共就三件事儿。 刚才说了两件事儿,我现在再补充一件叫承担责任。

  • 主动思考
  • 长期积累
  • 承担责任

设计自己的流程,执行自己的流程,优化自己的流程……(迭代,进化)

04b11332-0333-421a-99b1-48e42298ddd2.mp3

所以到最后啊,你要把自己变成这种人,对? 你如果是自己就不是这种人。 那我跟你讲用程序员思维向AI对话他没有意义的。 你看书看了很多没有用,你又回去了,为什么你根上就不是这样的人,对吧? 所以呢上来你要干的重要的事情哈,最重要从根基上改变自己,对吧? 你要变成一个强求自己变成一个主动思考的人,强求自己变成一个长期积累的人,并且呢要勇于承担哈,责任,对吧? 那自己的责任,自己不承担,谁帮你承担啊,逃避责任永远是幻觉,你知道吗? 弱者的幻觉。

38e9151b-87f6-4d30-9b00-73a52b44cf54.mp3

所以如果你是父母的话哈,你就会很根深蒂固的哈能够理解李笑来为什么这么讲课,对啊? 就为什么我我我一定要找到最后的根基,对吧? 要不然我没有用啊,你不要误以为我是在给你们讲课,我是在给我家的孩子讲课,在给我我老婆讲课,对吧? 因为我我要让我们家的孩子啊,变成这样的人,那至于他后面用这样的品质干什么事情,我哪知道去啊,对不对? 所以呢根基上哈,这这个是今天哈课程的一个重要的关键,对吧? 如果你不是这样的人,对吧? 你用什么样的方式跟AI说话AI说实话也帮不了你太多的忙对吧 你要变成这样的人。 😊

所谓的 “程序员思维”

  • 明确需求(限定/条件)(问题的需求)
  • 拆解问题(最终确定流程)
    • 分步:总得有顺序
    • 分情况:可能有分支
    • 模块化思考
      • 方法(输入 ⭢ 方法 ⭢ 输出)
      • 封装(明确方法的需求)
      • 递归
    • 错误处理
  • 通过实践(迭代)去优化(反思与改进)

0c569bb0-7157-4a56-81a0-160b436caaf9.mp3

所以呢总结起来哈总结起来所谓的程序员思维其实真的并不复杂啊,罗列出来到最后呢,一共就这么几条,对吧? 就不管遇到什么问题,不管要解决什么问题,不管要完成什么任务,上来第一件事情,是要做明确的需求,然后呢,就是你要定义问题是什么,然后在什么样的范围内去解决问题,在什么条件下去解决问题,就问题的需求,你要确定好,这个我一会儿还要稍微再深入讲一点的,再下一步是什么呢,你就把这个问题拆你都已经确定这个问题是什么,你就可以拆解这个问题了,对吧 拆解完了之后呢,就可以确定流程,如果他很复杂呢,你就把它拆成若干个子任务,每个子任务都定义清楚之后呢,再去拆解,对吧? 那首先呢你要分布吧,对吧? 你总得有先后吧,然后呢,你要分情况吧,对吧? 。

25ca6de7-f9b5-43ba-aad1-d430f93395d7.mp3

分情况就是代表了你的智能嘛,也代表了程序的智能,对吧? 具体情况,具体分析,然后呢让他根据不同的情况去做不同的事情,对吧? 然后再往下所谓的模块化思考,就是拆解任务带来的这个这个啊结果嘛,你把任务都拆解了,把它变成了一个又一个的小模块,然后这些人这里面有些模块是可以重复使用的啊,被称之为方法啊,它有输入,然后呢有处理过程,有输出,然后你还可以把它封装起来啊,明确啊这个方法的输入和输出,分别是什么 你甚至还可以递规的使用他们对? 这就叫模块化思考。 这里面每一个词你现在都可以用大白化去理解的。 最后呢啊因为它是个系统工程。 如果它很复杂的话,那么就需要不停的做各种各样的错误处理。 对啊? 然后呢再通过实践及所谓的迭代啊,不停的去优化,需要你的反思,需要你的改进。

去问问 ChatGPT 吧,“如何像程序员一样与 AI 沟通?”

  • “普通人如何用程序员思维与 AI 沟通?”

https://chatgpt.com/share/66f8e074-0da0-8009-a2f5-6f00facb659b

  • "How can ordinary people communicate with AI using a programmer's mindset?"

https://chatgpt.com/c/66f8e0f2-9114-8009-b675-0796e057bb07

e2e793f0-85f4-41b6-94cd-2ab7f96b4ae1.mp3

课后呢你可以哈去问一下chGPT说如何像程序员一样与AI沟通对吧 当然了,他会给你他的答案,对吧? 他的答案和李笑来答案肯定是不一样的对吧? 李笑来这些课的内容呢你肯定没有办法哈通过问GPT这样一个问题哈得到李笑来这种解释李笑来这种讲法啊李下来的这些例子对吧 李下来的这些思考对吧? 啊,是不可能的对吧? 因为这些思考这些智慧啊其实是AI无法触及的这以后我们再说。

5f0b4836-7680-4761-90dc-eec22d7edf55.mp3

但是呢今天我们其实一讲课的时候啊,就已经给了你一个技巧,你还记得吗? 是什么技巧? 就是同一个问题可以反复问他很多次啊? 所以呢就这个问题啊如何像程序员一样与AI沟通啊你可以反复问他嘛啊多看十几个版本都没有问题的对吧 啊,当然呢你也可以去看哈,这个要英文的答复,对吧? how can ordinary people communicate with AIusing a program methods mindset对吧 啊,就可以啊,你可以反复的去问他对吧? 然后你多看一看。

973dd57b-7cee-459b-9c5b-feacfadf93a1.mp3

然后呢,你再看看哈市面上流行的目前流行的哈所谓的提示师工程师培训啊,或者是面对普通人的人工智能培训啊,你仔细看看就明白了。 他们教的他们讲的是不是都跟现在AI列出来的那些大致差不多呀这是没有办法的事情因为背后的机励的确如此人工智能就是用程序员思维搞出来的东西当然用程序员思维与他沟通效率最高并且呢大家提到的方面当然也就是那些东西这是谁都改变不了的事实 。 。

a701ab36-51b4-4319-9a22-3551b5db1765.mp3

但是呢我的重点或者说我们这个课程的重点不仅仅是让你了解程序员思维是怎么回事。 更重要的是把你变成程序员或者起码真正具备程序员思维的人啊,即你能够在任何地方都能应用程序员思维,因为你就是你自己人生的程序员,你每天执行的所有的程序啊,虽然最初的时候都可能是别人设计的别人优化的,但是呢其实你自己是有权利去进行自己的思考,去进行自己的调整自己的优化的对吧

7ee4439b-3a8e-4699-bb97-362f8235b5a8.mp3

在现实生活当中啊,人们对程序员这三个字其实有很大的误解。 首先呢人们总以为程序员是一个专门或者特殊的职业。 其次呢大家所理解的所谓程序员啊,我告诉你,其实啊他们中的绝大多数也是在执行别人设计或别人优化的程序。 谁呀? 那个角色叫系统工程师。 啊系统工程师设计或者优化的程序,然后呢被这些所谓的程序员去写出来啊,其实他们自己也知道的,他们没有设计流程,他们只是把别人的想法啊写成啊计算机能够理解的啊程序语言啊,所以他们自己戏称自己是马农啊,写代码的农民,就是把别人的想法用计算机编成语言实现一遍而已的农民,和农民差不多的工种 。

642954e3-d84b-433d-aeac-ff3f8bc43317.mp3

然后你是团队管理者,你是团队组建者,你是流程管理者,你是流程设计者,那你要干嘛呀? 第一步当然是设计并制定清楚的流程,对吧? 然后谁来执行这些流程啊,就是你的团队成员嘛,执行这些对执行人的要求,其实很简单,就是你们不要判断严格执行命令,对啊? 确保流程完美执行,我不需要不需要你有判断力的对? OK这就是为什么哈这世界有绝大多数人懒得思考的重要原因因为这个世界需要相当一部分这样的人 或者反过来说,如果你有独立思考能力,你可能都找不着工作,或者找到工作,你都不太适应。

8de9a941-d2e4-44ee-8db9-82ee4f9c02e1.mp3

然后你是团队管理者,你是团队组建者,你是流程管理者,你是流程设计者,那你要干嘛呀? 第一步当然是设计并制定清楚的流程,对吧? 然后谁来执行这些流程啊,就是你的团队成员嘛,执行这些对执行人的要求,其实很简单,就是你们不要判断严格执行命令,对啊? 确保流程完美执行,我不需要不需要你有判断力的对? OK这就是为什么哈这世界有绝大多数人懒得思考的重要原因因为这个世界需要相当一部分这样的人 或者反过来说,如果你有独立思考能力,你可能都找不着工作,或者找到工作,你都不太适应。

5b0660ea-4309-4c63-b037-9c5d96c322b8.mp3

然后呢,我们再来看哈嗯你设计了个流程,你作为组织者管理者,设计者,你设计了个流程,然后你要干什么呀? 你要监督流程执行的过程,对吧? 异常处理嘛,啊,万一出了错怎么办? 这个时候呢,你要有监督者,就是所谓的中层对,那对他们要有一定的判断率要求对吧? 给他们,但是呢要求并不高,为什么呢? 因为所有的判断标准都是你给他的不是他自己想出来的对? 然后呢,最后啊你自己呢还要干嘛叫优化流程,对吧? 那领导呢有自己的任务啊,输赢自负,你要负责的,所以呢你你你你一定要去优化流程,一共就干这么三件事,然后呢,有三种人啊,来这个这个啊分别负责,对每一种人呢都有不一样的要求。

一切的 “团队管理”,核心本质都是 “流程管理”。

  • 设计并制定清楚的流程(对执行人要求,“你们无需判断,严格执行命令”)
  • 监督流程执行过程(对监督者有一定的 “判断力” 要求,给他们判断标准)
  • 优化流程(领导者自己的任务,输赢自负)

32c6eb39-3716-4f29-b9a0-c69b68ca541b.mp3

你看啊在平日里呢,大家总是吐槽哈各种各种吐槽吐槽各种家庭教育。 对? 其实呢在我看来说实话真的没有啥可吐槽的因为仅从事实上来看99%的家长压根就不是从来都不是主动思考,长期积累承担责任的人,他们过去不是现在不是将来还不是,他们在家里不是,他们在外面不是,他们这辈子都不是,那请问他怎么去做好一个家长呢,对啊,所以如果你是家长,你还想做个好的家长,你就问自己这三个问题就可以了 。 对啊? 我主动思考了吗? 我长期积累了嘛? 我承担责任了嘛? 对啊,然后你想教育出一个这样的孩子,对啊? 那你就从小向他灌输这三个基础要素的重要性就可以了。 。

fae02692-f568-409d-852e-c41eee3d11b8.mp3

我告诉你啊,这三个特质与年龄性别完全没有关系的。 有的人很小就具备就能做到,绝大多数人终生做不到。 请问如果你是家长,在你的教育当中有没有这个重点呢? 如果你自己就不是,请问怎么可能有呢? 并且呢这三个特征啊,也与金钱全无关系。 这压根就不是需要花钱才能获得的品质或者能力。 对,比较好笑的是哈,它只不过是一个意识问题,认知问题,它就好像是一个开关一样,绝大多数人都关着终生观着,可问题在于说,你打开它真的很累吗? 我告诉你,你打开这个开关的成本为零的?

afb01bbc-178a-4363-be14-88657a34a19d.mp3

如果你是个家长的话我可以毫不夸张的告诉你在99%的概率下这99%怎么来的? 我刚才跟你讲过在99%的概率下,目前我已经瞬间改变,甚至颠覆了你对所谓教育的认知。 我告诉你这个东西与智商没有关系的。 这只不过是任何人都能理解的事实,你再仔细想想看,与这三个特征相比,请问学校里的成绩算个屁,课外辅导班一文不值。 。

18fa0e6c-8ada-469b-b047-a088c1e1a6b3.mp3

好了,话说回来,再让我们看看真实的世界。 首先呢我们每个人时时刻刻都在执行程序啊,我们时时刻刻都是程序执行员,那个程序可能是别人设计,别人优化的,也可能是我们主动设计,我们主动优化的。 当然了,绝大多数其实还真的都是别人设计好啊,别人优化过的流程。 那问题在于说,不管设计者是谁执行的后果,是不是总是由我们自己承担呢? 那么请问是不是自己参与设计,自己参与优化更划算一点呢? 或者起码最起码是不是更应该呢? 因为无论怎样都是要自己承担后果对。

e12ad29f-dc9b-45af-8185-3c0eaffc83de.mp3

再说呢我告诉你,其实压力也并不大啊,因为绝大多数程序其实都挺好的对吧? 那你你你如何泡咖啡,你非要优化一下也行,不优化也可以,对吧? 群制的力量还是很大的。 我告诉你,于是呢我们要做的只不过是对最重要的程序,最关键的程序啊,主动进行进一步的思考,判断每个环节的质量,然后呢,看看有没有必要进行优化。 而后呢,而后反正都是由自己来承担后果嘛,对吧? 所以呢这只是一个选择。 但是你知道了选择的关键在哪里,然后呢,你就可以进行选择,。

03e5baa4-f046-4186-be7a-2e55fdf2a9dd.mp3

好了,现在呢我告诉你啊,经过以上的讲解,经过以上的思考。 然后呢你现在哈呃对怎么去跟AI进行沟通对吧如何与AI好好说话你现在呢有了三个方面的理解对吧 如何选择设备,如何选择语言,如何选择思维,对吧? 然后呢特别逗就这一大堆东西到最后啊嗯去改良你跟AI说话其实只需要自然语言的两个词就可以了。 因为chaGPT也好现在人工智能也好到最后是用自然语言沟通的虽然思维啊你可以用这个这个程序员思维。

5276885c-47f1-4ebe-9b46-96526b7a1948.mp3

所以到最后呢,你还是用自然语言与人工智能进行沟通嘛。 所以呢我告诉你一个特别神奇的词啊,就一个词啊,那么就可以哈嗯代表今天我们整节课的内容,很神奇。 这个词呢叫结构化啊用英文说就是structured啊结构化。 你把这个词给我记住啊,其实所谓的程序员思维呢也被称为结构化思维对吧? 所以你就记住这个词叫结构化structured对吧 然后呢再给它并列一个词啊叫全面对吧? 叫comprehensive。 对吧? 我告诉你,全面且结构化,是个特别重要的啊关键字特别重要的限定,特别重要的啊咒语。

comprehensive and structured全面且结构化

b8355e4d-500f-4b65-89e9-f5bb1d354631.mp3

刚才我用了个词啊叫咒语,对啊? 就是你在写任何proump的时候啊写任何提示词的时候啊你都可以想想看有没有必要把这个咒语加进去然后你就会发现说有它没他啊结果非常不一样那我告诉你啊其实我们之前啊写过的那个GPT build啊你回去看一看那当时我去写它的时候写的proumpt里面呢也有这个词structured 。 所以他才给了我一个那样结构的那样的回复然后呢才造成了一个那样高的水准的其实谁都没有办法打败GPT的那么一个GPT build一下顶到了这个这个顶级水平无法超越。

99770be1-af35-4e7c-adf4-d9ff309a4060.mp3

所以呢这节课的作业哈就是你用这个全面啊且结构化作为咒语啊写10个20个proumpt对吧 分别比较一下有这个咒语和没有这个咒语啊,带来的结果的不同。 然后呢,你也可以反复的去问,啊,多看几次,然后去体会,你就会知道说这节课的重要性,以及这节课的那么重要东西的解决方案,在人工智能时代居然变成了一个词而已啊,甚至那个词神奇到,恨不得我们把它叫做咒语的地步 。

https://chatgpt.com/share/66f9f0df-d1d0-8009-b45d-45443614744f

2d25cd8a-c1b8-4582-992e-cfd134651ca3.mp3

你要是觉得说哈自己去造句啊,那么累,对吧? 没有关系的啊,我这个人讲课就是这样的啊,就是到最后一定要不是送到你嘴边,一定要给你喂进去,对吧,给你灌进去对,逼你试下去。 所以呢我这里哈给你罗列了20个不同领域的啊这个提示词然后呢都加了这个咒语然后呢你可以逐一去试一试。 当然了,这些咒语呢啊在这个链接里都是英文,你可以翻译一下,没有关系的对? 好,我们这节课到这里结束,我们下一节课再见。